Giải SGK Toán 11 Cánh Diều Bài 1: Định nghĩa đạo hàm. Ý nghĩa hình học của đạo hàm

Câu hỏi khởi động: Tên lửa vũ trụ là phương tiện được chế tạo đặc biệt giúp con người thực hiện các sứ mệnh trong không gian như: tiếp cận đến các hành tinh ngoài Trái Đất, vận chuyển con người và thiết bị lên vũ trụ, ... (Hình 1).


Nếu quỹ đạo chuyển động của tên lửa được miêu tả bằng hàm số theo thời gian thì đại lượng nào biểu thị độ nhanh chậm của chuyển động tại một thời điểm?

Lời giải:

- Đại lượng biểu thị tốc độ nhanh chậm của chuyển động tại một thời điểm là v(x0), là đạo hàm của hàm số theo thời gian biểu thị quỹ đạo chuyển động của tên lửa.

I. Đạo hàm tại một điểm

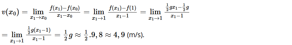
Hoạt động 1: Tính vận tốc tức thời của viên bi tại thời điểm x0 =1 (s) trong bài toán tìm vận tốc tức thời nêu ở trên

Lời giải:


Luyện tập 1: Tính đạo hàm của hàm số   tại x0 = 2 bằng định nghĩa

Lời giải:

Có Δy=f(3+Δx)f(3)=2.(3+Δx)2.3=2Δx

=>ΔyΔx=2

Ta thấy

limΔx0ΔyΔx=limΔx0(2)=2

=>f(3)=2


Luyện tập 2: Tính đạo hàm của hàm số f(x) = x3 tại điểm x bất kì bằng định nghĩa.

Lời giải:

⦁ Xét ∆x là số gia của biến số tại điểm x.

Ta có ∆y = f(x + ∆x) – f(x) = (x + ∆x)3 – x3

              = x3 + 3x2∆x + 3x(∆x)2 + (∆x)3 – x3

              = 3x2∆x + 3x(∆x)2 + (∆x)3

              = ∆x[3x2 + 3x∆x + (∆x)2]

Suy ra 

⦁ Ta thấy 

Vậy f’(x) = 3x2.

II. Ý nghĩa hình học của đạo hàm

Hoạt động 2: Cho hàm số y = f(x) có đồ thị (C), một điểm M0 cố định thuộc (C) có hoành độ x0. Với mỗi điểm M thuộc (C) khác M0, kí hiệu xM là hoành độ của điểm M và kM là hệ số góc của cát tuyến M0M. Giả sử tồn tại giới hạn hữu hạn. Khi đó, ta coi đường thẳng M0T đi qua M0 và có hệ số góc k0 là vị trí giới hạn của cát tuyến M0M khi điểm M di chuyển dọc theo (C) dần tới M0.s

Đường thẳng M0T được gọi là tiếp tuyến của (C) tại điểm M0, còn M0 được gọi là tiếp điểm (Hình 3).


a) Xác định hệ số góc k0 của tiếp tuyến M0T theo x0.

b) Viết phương trình tiếp tuyến của đồ thị hàm số tại điểm M0

Lời giải:


Luyện tập 3: Viết phương trình tiếp tuyến của đồ thị hàm số tại điểm N(1; 1)

Lời giải:

Tiếp tuyến của đồ thị tại điểm có hoành độ bằng 1 có hệ số góc là

f(1)=limx11x1x1=1

Phương trình tiếp tuyến của đồ thị tại điểm N(1;1) là

y=1(x1)+1=x+2


Bài tập

Bài tập 1: Tính đạo hàm của hàm số f(x) = 3x3 – 1 tại điểm x0 = 1 bằng định nghĩa:

Lời giải:

Xét ∆x là số gia của biến số tại điểm x0 = 1.

Ta có ∆y = f(1 + ∆x) – f(1) = 3(1 + ∆x)3 – 1 – (3.13 – 1)

              = 3 + 9∆x + 9.(∆x)2 + 3(∆x)3 – 1 – 2

              = 9∆x + 9.(∆x)2 + 3(∆x)3

              = ∆x[9 + 9∆x + 3(∆x)2].

Suy ra: 

⦁ Ta thấy: 

Bài tập 2: Chứng minh rằng hàm số f(x) = |x| không có đạo hàm tại điểm x0 = 0, nhưng có đạo hàm tại mọi điểm x ≠ 0

Lời giải:

y=|x|=x(x0) và x(x<0)

=>y=1(x0) và 1(x<0)

Ta có limx0+y=11=limx0y

Vậy không tồn tại đạo hàm của hàm số tại x=0


Bài tập 3: Cho hàm y = –2x2 + x có đồ thị (C).

a) Xác định hệ số góc của tiếp tuyến của đồ thị (C) tại điểm có hoành độ bằng 2.

b) Viết phương trình tiếp tuyến của đồ thị (C) tại điểm M(2; – 6)

Lời giải:


Bài tập 4: Giả sử chi phí C (USD) để sản xuất Q máy vô tuyến là C(Q) = Q2 + 80Q + 3 500.

a) Ta gọi chi phí biên là chi phí gia tăng để sản xuất thêm 1 sản phẩm từ Q sản phẩm lên Q + 1 sản phẩm. Giả sử chi phí biên được xác định bởi hàm số C’(Q). Tìm hàm chi phí biên.

b) Tìm C’(90) và giải thích ý nghĩa kết quả tìm được

Lời giải:

a) Xét ∆Q là số gia của biến số tại điểm Q.

Ta có ∆C = C(Q + ∆Q) – C(Q)

              = (Q + ∆Q)2 + 80(Q + ∆Q) + 3 500 – Q2 – 80Q – 3 500

              = (∆Q)2 + 2Q. ∆Q + 80∆Q.

               = ∆Q(∆Q + 2Q + 80).

Suy ra 

Ta thấy 

Vậy hàm chi phí biên là: C’(Q) = 2Q + 80 (USD).

b) Ta có C’(90) = 2 . 90 + 80 = 260 (USD).

Ý nghĩa: Để sản xuất thêm 1 sản phẩm từ 90 lên 91 sản phẩm cần chi phí biên (chi phí gia tăng) là 260 (USD)