Giải SGK Toán 11 Cánh Diều Bài 2: Phép tính Lôgarit

Câu hỏi khởi động: Chỉ số hay độ pH của một dung dịch được tính theo công thức: pH = – log[H+] với [H+] là nồng độ ion hydrogen. Người ta đo được nồng độ ion hydrogen của một cốc nước cam là 10–4, nước dừa là 10–5 (nồng độ tính bằng molL–1). Làm thế nào để tính được độ pH của cốc nước cam, nước dừa đó?

Lời giải:

- Độ pH của cốc nước cam là: pH = –log[H+] = –log10–4 = –(–4) = 4;

- Độ pH của cốc nước dừa là:pH = –log[H+] = –log10–5 = –(–5) = 5.

I. Khái niệm Lôgarit

Hoạt động 1:

a) Tìm x trong mỗi trường hợp sau: 

b) Có bao nhiêu số thực x sao cho 3x = 5?

Lời giải:

a) 3x=9=>x=2

3x=19=>x=2

b) Có một số thực x sao cho: 3x=5


Luyện tập 1: Tính:

a) log381;                b) 

Lời giải:


Hoạt động 2: Cho a > 0, a ≠ 1. Tính:

a) loga1;                  b) logaa;                  c) logac;                d)   với b > 0.

Lời giải:

Với a > 0, a ≠ 1 ta có:

a) loga1 = 0 vì a0 = 1;     

b) logaa = 1 vì a1 = a;

c) logac = c vì ac = ac;    

d) Với b > 0, đặt logab = c, suy ra ac = b

Ta có 

Vậy   (với b > 0).

Luyện tập 2: Tính:

a)                                             b) 

Lời giải:

a) log4165=log4(42)15=log4425=25

b)36log68=6log68.6log68=8.8=64


Luyện tập 3: Giải bài toán được nêu ở phần mở đầu.

Lời giải:

- Độ pH của cốc nước cam là: pH = –log[H+] = –log10–4 = –(–4) = 4;

- Độ pH của cốc nước dừa là:pH = –log[H+] = –log10–5 = –(–5) = 5.

II. Một số tính chất của phép tính Lôgarit

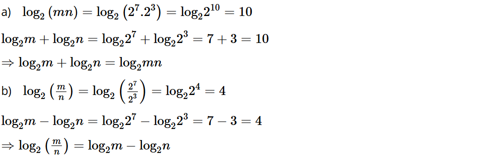
Hoạt động 3: Cho m = 27, n = 23.

a) Tính log2(mn); log2m + log2n và so sánh các kết quả đó.

b) Tính   log2m – log2n và so sánh các kết quả đó.

Lời giải:


Luyện tập 4: Tính:

a) 

b) log400 – log4;

c) 

Lời giải:

a) 

b) 

c) 

Hoạt động 4: Cho a > 0, a ≠1, b > 0, α là một số thực.

a) Tính   và  .

b) So sánh   và .

Lời giải:

a) Tính alogabα=bα

aαlogab=bα

b) logabα=αlogab


Luyện tập 5: Tính:  .

Lời giải:


Hoạt động 5: Cho ba số thực dương a, b, c với a ≠ 1, b ≠ 1.

a) Bằng cách sử dụng tính chất   chứng tỏ rằng logac = logbc . logab;

b) So sánh logbc và 

Lời giải:

a) Với a, b, c > 0 và a ≠ 1, b ≠ 1, ta có:

Vậy logac = logbc . logab.

b) Từ logac = logbc . logab suy ra 

Luyện tập 6: Tính: 

Lời giải:

5log12564=5log56413=6413=4

III. Sử dụng máy tính cầm tay để tính Lôgarit

Luyện tập 7: Sử dụng máy tính cầm tay để tính: log719; log1126.

Lời giải:


Bài tập

Bài tập 1: Tính:

a) log12123;                        b) log0,50,25;                      c) logaa–3 (a > 0, a ≠ 1).

Lời giải:

a) log12123 = 3;

b) log0,50,25 = log0,50,52 = 2;

c) logaa–3 = –3 (với a > 0, a ≠ 1).

Bài tập 2: Tính:

a)                                b)                         c) 

Lời giải:

a) 8log25=23log25=53=125

b) 110log81=101log81=181

c) 5log2516=5log51612=4


Bài tập 3: Cho logab = 2. Tính:

a) loga(a2b3);

b)    

c) 

Lời giải:


Bài tập 4: Cho hai số thực dương a, b thoả mãn a3b2 = 100. Tính giá trị của biểu thức P = 3log a + 2log b.

Lời giải:

Ta có: P = log a3 + log b2 = log a3b2 = log 100 = 10.

Bài tập 5: Trong nuôi trồng thuỷ sản, độ pH của môi trường nước sẽ ảnh hưởng đến sức khoẻ và sự phát triển của thuỷ sản. Độ pH thích hợp cho nước trong đầm nuôi tôm sú là từ 7,2 đến 8,8 và tốt nhất là trong khoảng từ 7,8 đến 8,5. Phân tích nồng độ [H+] trong một đầm nuôi tôm sú, ta thu được [H+] = 8 . 10–8 (Nguồn: https://nongnghiep.farmvina.com). Hỏi độ pH của đầm đó có thích hợp cho tôm sú phát triển không?

Lời giải:

Có pH=log[H+]=log8.1087,1

=> Không thích hợp


Bài tập 6: Một vi khuẩn có khối lượng khoảng 5 . 10–13 gam và cứ 20 phút vi khuẩn đó tự nhân đôi một lần (Nguồn: Câu hỏi và bài tập vi sinh học, NXB ĐHSP, 2008). Giả sử các vi khuẩn được nuôi trong các điều kiện sinh trưởng tối ưu và mỗi con vi khuẩn đều tồn tại trong ít nhất 60 giờ. Hỏi sau bao nhiêu giờ khối lượng do tế bào vi khuẩn này sinh ra sẽ đạt tới khối lượng của Trái Đất (lấy khối lượng của Trái Đất là 6 . 1027 gam) (làm tròn kết quả đến hàng đơn vị)?

Lời giải: