Giải SGK Toán 11 Cánh Diều Bài 3: Đạo hàm cấp hai

I. Định nghĩa

Hoạt động 1: Xét hàm số y = x3 – 4x2 + 5.

a) Tìm y'.

b) Tìm đạo hàm của hàm số y'

Lời giải:

a) Từ y = x3 – 4x2 + 5 ta có y' = 3x2 – 8x.

b) Đạo hàm của hàm số y' là (3x2 – 8x)' = 6x – 8

Luyện tập: Tìm đạo hàm cấp hai của hàm số y = sin3x

Lời giải:


II. Ý nghĩa cơ học của đạo hàm cấp 2

Hoạt động 2: Một vật rơi tự do theo phương thẳng đứng có phương trình chuyển động trong đó g là gia tốc rơi tự do, g ≈ 9,8 m/s2.

a) Tính vận tốc tức thời v(t) tại thời điểm t0 = 4 (s); t1 = 4,1 (s).

b) Tính tỉ số  trong khoảng thời gian ∆t = t1 – t0.

Lời giải:

a) Vận tốc tức thời v(t)=s(t)=gt

- Vận tốc tức thời tạo thời điểm 

v(4)9,8.439,2 (m/s)

- Vận tốc tức thời tại thời điểm

v(4,1)9,8.4,140,18 (m/s)

b) Tỉ số ΔvΔt=40,1839,24,14=9,8


Bài tập

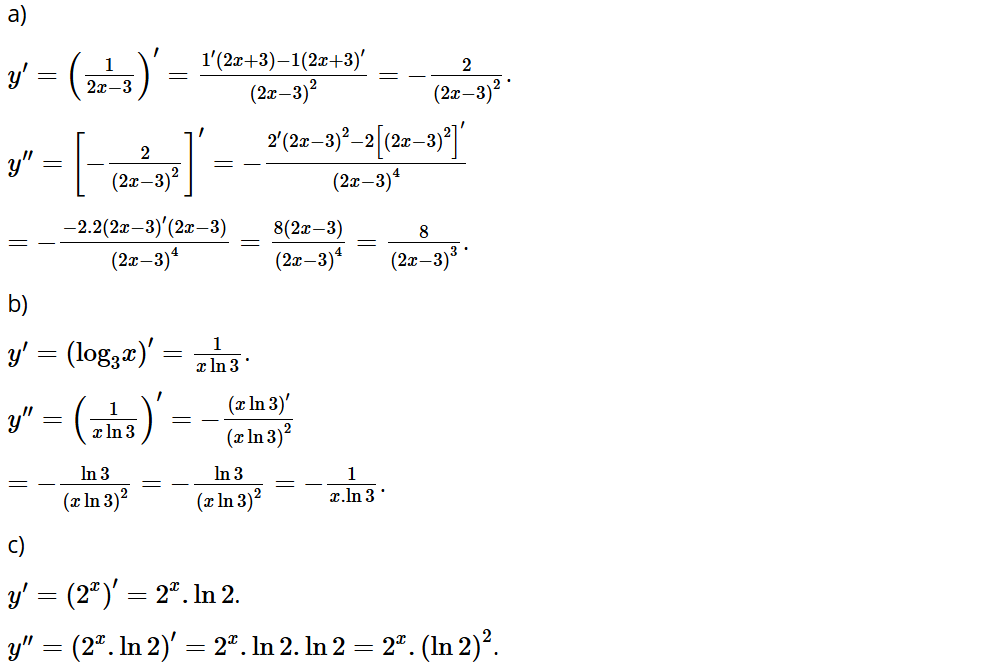
Bài tập 1: Tìm đạo hàm cấp hai của mỗi hàm số sau:

a)

b) y = log3x;              

c) y = 2x.

Lời giải:


Bài tập 2: Tính đạo hàm cấp hai của mỗi hàm số sau:

a) y = 3x2 – 4x + 5 tại điểm x0 = –2;

b) y = log3(2x + 1) tại điểm x0 = 3;

c) y = e4x + 3 tại điểm x0 = 1;

d)  tại điểm 

e)  tại điểm x0 = 0.

Lời giải:

a) y=3x24x+5

y=6x4

y′′=6

b) log3(2x+1)

y=2(2x+1)ln3=21(2x+1)ln3

=>y′′=2.2.ln3(2x+1)2(ln3)2=4(2x+1)2ln3

Thay x0=3

=>y′′(3)=449ln3

c) e4x+3

y=4e4x+3

=>y′′=16e4x+3

=>y′′(1)=16e7

d) sin(2x+π3)

y=2cos(2x+π3)

=>y′′=4sin(2x+π3)

=>y′′(π6)=4sin(2π3)

e) y=cos(3xπ6)

y=3sin(3xπ6)

y′′=9cos(3xπ6)

y′′(0)=9cos(π6)


Bài tập 3: Một vật rơi tự do theo phương thẳng đứng có phương trình chuyển động trong đó g là gia tốc rơi tự do, g ≈ 9,8 m/s2.

a) Tính vận tốc tức thời của vật tại thời điểm t0 = 2 (s).

b) Tính gia tốc tức thời của vật tại thời điểm t0 = 2 (s).

Lời giải:

Xét hàm số 

a) Vận tốc tức thời của vật: v(t) = s'(t) = gt.

Tại thời điểm t0 = 2 (s) có: v(2) ≈ 9,8 . 2 = 19,6 (m/s).

b) Gia tốc tức thời của vật: a(t) = v'(t) = g.

Tại thời điểm t0 = 2 (s) có: a(2) ≈ 9,8 (m/s2).

Bài tập 4: Một chất điểm chuyển động theo phương trình s(t) = t3 – 3t2 + 8t + 1, trong đó t > 0, t tính bằng giây và s(t) tính bằng mét. Tính vận tốc tức thời, gia tốc tức thời của chất điểm:

a) Tại thời điểm t = 3 (s);

b) Tại thời điểm mà s(t) = 7 (m)

Lời giải:


Bài tập 5: Một con lắc lò xo dao động điều hòa theo phương ngang trên mặt phẳng không ma sát như Hình 7, có phương trình chuyển động x(t) = 4sint, trong đó t tính bằng giây và x(t)  tính bằng centimet.


a) Tìm phương trình theo thời gian của vận tốc tức thời và gia tốc tức thời của con lắc.

b) Tính vận tốc tức thời và gia tốc tức thời của con lắc tại thời điểm (s). Tại thời điểm đó, con lắc đi theo chiều dương hay chiều âm của trục Ox?

Lời giải:

a) Phương trình vận tốc tức thời của con lắc là:

v(t) = x'(t) = (4sint)' = 4cost.

Phương trình gia tốc tức thời của con lắc là:

a(t) = v'(t) = (4cost)' = 4(–sint) = –4sint.

b) Vận tốc tức thời của con lắc tại  (s) là:

Gia tốc tức thời của con lắc tại (s)là:

(m/s2).

Do vận tốc tức thời tại thời điểm (s) mang giá trị âm nên con lắc lúc này đang di chuyển theo chiều âm của trục Ox.