Giải SGK Toán 11 Cánh Diều Bài 2: Các quy tắc tính đạo hàm

I. Đạo hàm của một số hàm số sơ cấp cơ bản

Hoạt động 1:

a) Tính đạo hàm của hàm số y = x2 tại điểm x0 bất kì bằng định nghĩa.

b) Dự đoán đạo hàm của hàm số y = xn tại điểm x bất kì

Lời giải:

a) y(x0)=limxx0x2x20xx0=limxx0(xx0)(x+x0)xx0

=limxx0(x+x0)=2x0

b) y=xn

=> y=n.xn1


Luyện tập 1: Cho hàm số y = x22

a) Tính đạo hàm của hàm số trên tại điểm x bất kì.

b) Tính đạo hàm của hàm số trên tại điểm x0 =1

Lời giải:

a) Ta có: y' = (x22)' = 22x21

b) Đạo hàm của hàm số tại điểm x0 = –1 là y'(–1) = 22 . (–1)21 = 22 . (–1) = –22

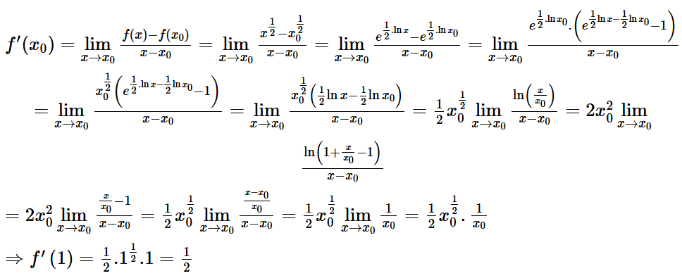
Hoạt động 2: Tính đạo hàm của hàm số  tại điểm x0 = 1 bằng định nghĩa

Lời giải:

Luyện tập 2: Tính đạo hàm của hàm số  tại điểm x0 = 9

Lời giải:

Ta có :với x > 0.

Vậy đạo hàm của hàm số trên tại điểm x= 9 là 

Hoạt động 3: Bằng cách sử dụng kết quả  tính đạo hàm của hàm số y = sinx tại điểm x bất kì bằng định nghĩa

Lời giải:


Luyện tập 3: Tính đạo hàm của hàm số f(x) = sinx tại điểm 

Lời giải:

Ta có f’(x) = cosx.

Đạo hàm của hàm số trên tại điểm là: 

Hoạt động 4: Bằng định nghĩa, tính đạo hàm của hàm số y = cosx tại điểm x bất kì

Lời giải:

f(x0)=limxx0cosxcosx0xx0

=limxx02.sinx+x02.sinxx02xx0

=limxx02.x+x02.sinxx02xx0

=limxx0sinx+x02=sin2x02=sinx0

=>f(x)=(cosx)=sinx


Luyện tập 4: Một vật dao động theo phương trình f(x) = cosx, trong đó x là thời gian tính theo giây. Tính vận tốc tức thời của vật tại thời điểm x0 = 2

Lời giải:

Ta có:f’(x)= –sinx

Vậy vận tốc tức thời của vật tại thời điểm x0 = 2 là: f’(2) = –sin2

Hoạt động 5: Bằng định nghĩa, tính đạo hàm của hàm số y = tanx tại điểm x bất kì, (k ∈ ℤ)

Lời giải:


Luyện tập 5: Tính đạo hàm của hàm số f(x) = tanx tại điểm 

Lời giải:

Có f(x)=1cos2x=1cos2π6=43

Hoạt động 6: Bằng định nghĩa, tính đạo hàm của hàm số y = cotx tại điểm x bất kì, x ≠ kπ (k∈ ℤ)

Lời giải:

Xét ∆x là số gia của biến số tại điểm x bất kì, x ≠ kπ (k ∈ ℤ).

Ta có: ∆y = f(x + ∆x) – f(x) = cot(x + ∆x) – cotx.

Suy ra 

                        

                        

                        

                        

                        

                        

Vậy đạo hàm của hàm số y = cotx tại điểm x bất kì, x ≠ kπ (k ∈ ℤ) là 

Luyện tập 6: Tính đạo hàm của hàm số f(x) = cotx tại điểm 

Lời giải:


Hoạt động 7: Bằng cách sử dụng kết quả  tính đạo hàm của hàm số y = ex tại điểm x bất kì bằng định nghĩa

Lời giải:

f(x0)=limxx0ex+x0exxx0

=limxx0ex(ex01)x

=ex.limxx0ex01x=ex

=>f(x)=ex


Luyện tập 7: Tính đạo hàm của hàm số f(x) = 10x tại điểm x0 = –1

Lời giải:

Ta có f’(x) = 10xln10

Đạo hàm của hàm số trên tại điểm x0 =–1 là 

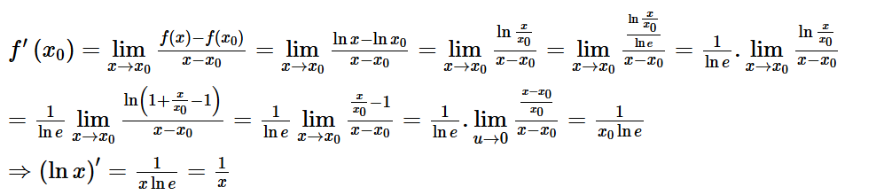
Hoạt động 8: Bằng cách sử dụng kết quả  tính đạo hàm của hàm số y = lnx tại điểm x dương bất kì bằng định nghĩa

Lời giải:


Luyện tập 8: Tính đạo hàm của hàm số f(x) = logx tại điểm 

Lời giải:

Ta có: (x > 0).

Đạo hàm của hàm số trên tại điểm là 

Hoạt động 9: Cho hai hàm số f(x), g(x) xác định trên khoảng (a; b) cùng có đạo hàm tại điểm x0 ∈ (a; b).

a) Xét hàm số h(x) = f(x) + g(x), x ∈ (a; b). So sánh:

  và 

b) Nêu nhận xét về h'(x0) và f'(x0) + g’(x0

Lời giải:

a) Có Δx=xx0,Δy=f(x0+Δx)f(x0)limx0h(x0+Δx)h(x0)Δx

=limx0h(x)h(x0xx0

=limx0f(x)+g(x)f(x0)g(x0)xx0

=limx0g(x0+Δx)f(x0)Δx+limx0f(x0+Δx)g(x0)Δx

b) h(x0)=f(x0)+g(x0)


Luyện tập 9: Tính đạo hàm của hàm số  tại điểm x dương bất kì

Lời giải:


Luyện tập 10: Tính đạo hàm của hàm số f(x) = tanx + cotx tại điểm 

Lời giải:

Xét f(x) = tanx + cotx, ta có: với  và x ≠ kπ (k ∈ ℤ).

Vậy đạo hàm của hàm số trên là 

Hoạt động 10: Cho hàm số y = f(u) = sinu; u = g(x) = x2.

a) Bằng cách thay đổi u bởi x2 trong biểu thức sinu, hãy biểu thị giá trị của u theo biến số x.

b) Xác định hàm số y = f(g(x))

Lời giải:

a) f(u)=sinx2

b) Hàm số: y=f(x2)=sinx2


Luyện tập 11: Hàm số y = log2(3x + 1)là hàm hợp của hai hàm số nào?

Lời giải:


Luyện tập 12: Tìm đạo hàm của mỗi hàm số sau:

a) y = e3x + 1

b) y = log3(2x – 3)

Lời giải:

a) Đặt u = 3x + 1, ta có y = eu.

Khi đó  và 

Theo công thức tính đạo hàm của hàm hợp, ta có: 

              

b) Đặt u = 2x – 3, ta có y = log3u.

Khi đó  và 

Theo công thức tính đạo hàm của hàm hợp, ta có:

Bài tập 1: Cho u = u(x), v = v(x), w = w(x) là các hàm số tại điểm x thuộc khoảng xác định. Phát biểu nào sau đây là đúng?

a) (u + v + w)' = u' + v' + w';

b) (u + v – w)' = u' + v' – w';

c) (uv)' = u'v';

d)  với v = v(x) ≠ 0, v' = v'(x) ≠ 0.

Lời giải:

Phát biểu đúng là: a), b).

Phát biểu c) sai vì (uv)' = u'v + uv'.

Phát biểu (d) sai vì 

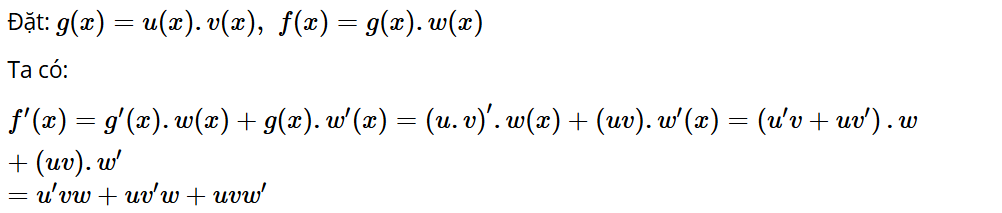
Bài tập 2: Cho u = u(x), v = v(x), w = w(x) là các hàm số có đạo hàm tại điểm x thuộc khoảng xác định. Chứng minh rằng (u .  v . w)' = u' . v . w + u . v' . w + u . v . w'.

Lời giải:


Bài tập 3: Tìm đạo hàm của mỗi hàm số sau:

a) y = 4x3 – 3x2 + 2x + 10;

b,

c)  

d) y = 3sinx + 4cosx – tanx;

e) y = 4x + 2ex;             

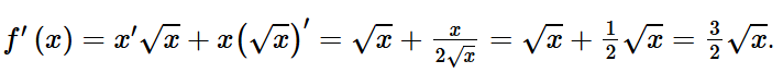
g) y = xlnx.

Lời giải:

a) y' = (4x3)' – (3x2)' + (2x)' + (10)'

        = 4.3.x2 – 3.2.x + 2.1

        = 12x2 – 6x + 2.

b) 

       

c) 

         

d) y’ = (3sinx)' + (4cosx)' – (tanx)'

       

e) y' = (4x)' + (2ex)'

= 4xln4 + 2ex.

g) y' = (xlnx)' = (x)'.lnx + x.(lnx)'

       

Bài tập 4: Cho hàm số f(x) = 23x + 2.

a) Hàm số f(x) là hàm hợp của các hàm số nào?

b) Tìm đạo hàm của f(x)

Lời giải:

a) Hàm số f(x) là hàm hợp của hai hàm số y=2u,u=3x+2

b) f(x)=3.23x+2.ln2


Bài tập 5: Tìm đạo hàm của mỗi hàm số sau:

a) y = sin3x + sin2x

b) y = log2(2x + 1) + 3−2x + 1

Lời giải:


Bài tập 6: Viết phương trình tiếp tuyến của đồ thị mỗi hàm số sau:

a) y = x3 – 3x2 + 4 tại điểm có hoành độ x= 2;

b) y = lnx tại điểm có hoành độ x0 = e;

c) y = ex tại điểm có hoành độ x0 = 0.

Lời giải:

a) Từ y = x3 – 3x2 + 4, ta có: y' = (x3)' – (3x2)' + (4)' = 3x2 – 6x.

Do đó y'(2) = 3.22 – 6.2 = 12 – 12 = 0.

          y(2) = 23 – 3.22 + 4 = 8 – 12 + 4 = 0.

Phương trình tiếp tuyến của đồ thị tại điểm có hoành độ x0 = 2 là:

y = 0(x – 2) + 0 = 0.

b) Từ y = lnx, ta có: 

Do đó và  = lne = 1.

Phương trình tiếp tuyến của đồ thị tại điểm có hoành độ x0 = e là

               hay 

c) Từ y = ex, ta có: y' = (ex)' = ex.

Do đó y'(0) = e0 = 1 và y(0) = e0 = 1.

Phương trình tiếp tuyến của đồ thị tại điểm có hoành độ x0 = 0 là:

y = 1(x – 0) +1 hay y = x + 1.

Bài tập 7: Một viên đạn được bắn từ mặt đất theo phương thẳng đứng với tốc độ ban đầu v0 = 196 m/s (bỏ qua sức cản của không khí). Tìm thời điểm mà tốc độ của viên đạn bằng 0. Khi đó viên đạn cách mặt đất bao nhiêu mét (lấy g = 9,8 m/s2)?

Lời giải:


Bài tập 8: Cho mạch điện như Hình 5. Lúc đầu tụ điện có điện tích Q0. Khi đóng khóa K, tụ điện phóng điện qua cuộn dây; điện tích q của tụ điện phụ thuộc vào thời gian t theo công thức q(t) = Q0sinωt, trong đó ω là tốc độ góc. Biết rằng cường độ I(t) của dòng điện tại thời điểm t được tính theo công thức I(t) = q'(t). Cho biết Q= 10–8 (C) và ω = 106π (rad/s). Tính cường độ dòng điện tại thời điểm t = 6 (s) (tính chính xác đến 10–5 mA)


Lời giải:

I(t) = q'(t) = (Q0sinωt)' = Q0ω.cosωt

Cường độ của dòng điện tại thời điểm t = 6 (s) là:

I(6) = 10–8 ∙106π.cos(106π.6) = 10–2π.cos0 = 0,01π (A).