Câu hỏi khởi động: Ở các lớp dưới, ta đã làm quen với phép tính lũy thừa với số mũ tự nhiên của một số thực và các tính chất của phép tính lũy thừa đó. Những khái niệm lũy thừa với số mũ nguyên, số mũ hữu tỉ và số mũ thực của một số thực được xây dựng như thế nào? Những phép lũy thừa đó có tính chất gì?
Lời giải:
– Những khái niệm lũy thừa với số mũ nguyên, số mũ hữu tỉ và số mũ thực của một số thực được xây dựng dựa trên lũy thừa bậc n của a, kí hiệu là an, là tích của n thừa số a:
an = a.a.a...a (n thừa số a) với n là số nguyên dương.
Số a được gọi là cơ số, n được gọi là số mũ.
– Tính chất của lũy thừa mà ta đã học ở các lớp dưới:
⦁ am . an = am+n;
⦁
⦁
⦁ (a . b)m = am . bm;
⦁
⦁ Với a > 1 thì am > an ⇔ m > n;
⦁Với 0 < a < 1 thì am > an ⇔ m < n.
I. Phép tính lũy thừa với số mũ hữu tỷ
Hoạt động 1:
a) Cho n là một số nguyên dương. Với a là số thực tùy ý, nêu định nghĩa lũy thừa bậc n của a.
b) Với a là số thực tùy ý khác 0, nêu quy ước xác định lũy thừa bậc 0 của a.
Lời giải:
Luyện tập 1: Tính giá trị của biểu thức:
Lời giải:
Hoạt động 2:
a) Với a là số thực không ân, nêu định nghĩa căn bậc hai của a.
b) Với a là số thực tùy ý, nêu định nghĩa căn bậc ba của a.
Lời giải:
a) Căn bậc hai của một số thực a không âm, kí hiệu là là số x sao cho x2 = a.
b) Căn bậc ba của một số a tùy ý, kí hiệu là là số x sao cho x3 = a.
Luyện tập 2: Các số 2 và –2 có phải là căn bậc 6 của 64 hay không?
Lời giải:
Hoạt động 3:
a) Với mỗi số thực a, so sánh: và |a|; và a.
b) Cho a, b là hai số thực dương. So sánh và
Lời giải:
a)
b)
Luyện tập 3: Rút gọn mỗi biểu thức sau:
a) b)
Lời giải:
a)
b)
Hoạt động 4: Thực hiện các hoạt động sau:
a) So sánh và 22; b) So sánh
và
Lời giải:
Luyện tập 4: Rút gọn mỗi biểu thức:
Lời giải:
II. Phép tính lũy thừa với số mũ thực
Hoạt động 5:
Xét số vô tỉ
Xét dãy số hữu tỉ r1 = 1; r2 = 1,4; r3 = 1,41; r4 = 1,414; r5 = 1,4142; r6 = 1,41421; ...và Bằng cách tính tương ứng, ta nhận được Bảng 1 ghi các dãy số (rn) và với n = 1, 2, ..., 6. Người ta chứng minh được rằng khi n → +∞ thì dãy số dần đến một giới hạn mà ta gọi là
Nêu dự đoán về giá trị của số (đến hàng phần trăm).

Lời giải:
Từ Bảng 1 ta thấy:
⦁r1 = 1 thì
⦁r2 = 1,4 thì
...
⦁r6 = 1,41421 thì
…
Dự đoán:
Luyện tập 5: So sánh và 10.
Lời giải:
Có
Hoạt động 6: Nêu những tính chất của phép tính lũy thừa với số mũ nguyên của một số thực dương.
Lời giải:
Luyện tập 6:
Không sử dụng máy tính cầm tay, hãy so sánh các số và
Lời giải:
Ta có:
Vì 12 < 18, nên
Do cơ số 2 lớn hơn 1 nên
Luyện tập 7: Dùng máy tính cầm tay để tính (làm tròn kết quả đến hàng phần trăm):
a) b)
Lời giải:
a)
b)
Bài tập
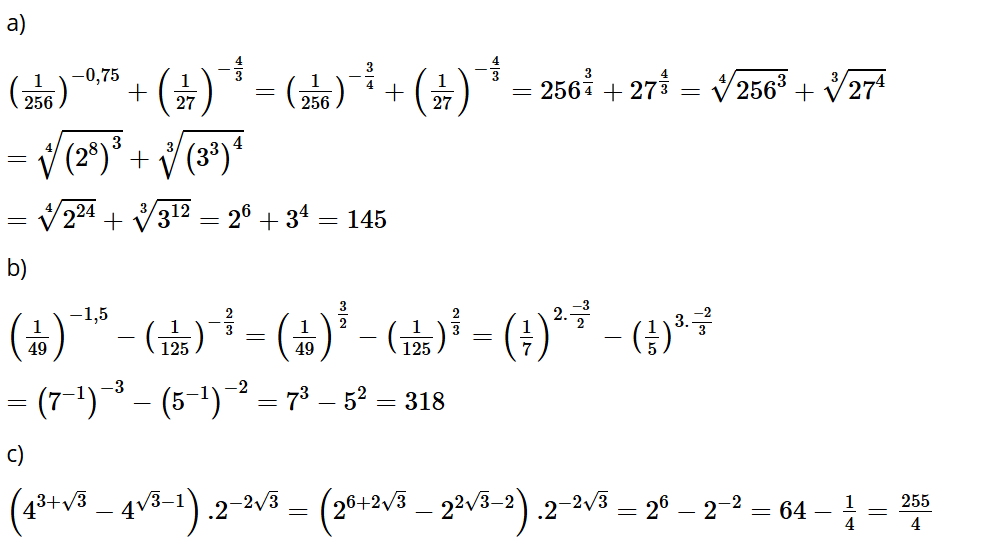
Bài tập 1: Tính:
a)
b)
c)
Lời giải:
Bài tập 2:
Cho a, b là những số thực dương. Viết các biểu thức sau dưới dạng lũy thừa với số mũ hữu tỉ:
a) b) c) d)
Lời giải:
a)
b)
c)
d)
Bài tập 3: Rút gọn mỗi biểu thức sau:
a) b)
Lời giải:
a)
b)
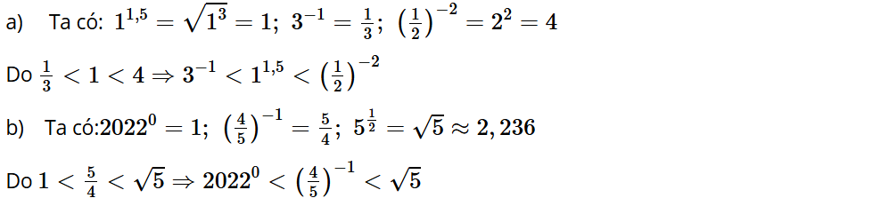
Bài tập 4: Viết các số sau theo thứ tự tăng dần:
a) b)
Lời giải:
Bài tập 5: Không sử dụng máy tính cầm tay, hãy so sánh các số sau:
a) và 36; b) và
Lời giải:
a) Ta có 3 < 4 nên
Vì cơ số 6 lớn hơn 1 nên do đó
b) Ta có: 3 < 5 nên
Vì cơ số 0,2 thỏa mãn 0 < 0,2 < 1 nên
Bài tập 6: Định luật thứ ba của Kepler về quỹ đạo chuyển động cho biết cách ước tính khoảng thời gian P (tính theo năm Trái Đất) mà một hành tinh cần để hoàn thành một quỹ đạo quay quanh Mặt Trời. Khoảng thời gian đó được xác định bởi hàm số
trong đó d là khoảng cách từ hành tinh đó đến Mặt Trời tính theo đơn vị thiên văn AU (1 AU là khoảng cách từ Trái Đất đến Mặt Trời, tức là 1 AU khoảng 93 000 000 dặm) (Nguồn: R.I. Charles et al., Algebra 2, Pearson). Hỏi Sao Hỏa quay quanh Mặt Trời thì mất bao nhiêu năm Trái Đất (làm tròn kết quả đến hàng phần trăm)? Biết khoảng cách từ Sao Hỏa đến Mặt Trời là 1,52 AU.
Lời giải:
- Có