Giải SGK Toán 11 Kết nối tri thức Bài 21: Phương trình, bất phương trình mũ và Lôgarit

Mở đầu: Giả sử giá trị còn lại (tính theo triệu đồng) của một chiếc ô tô sau t năm sử dụng được mô hình hóa bằng công thức:

V(t) = 780 ∙ (0,905)t.

Hỏi nếu theo mô hình này, sau bao nhiêu năm sử dụng thì giá trị của chiếc ô tô đó còn lại không quá 300 triệu đồng? (Làm tròn kết quả đến hàng đơn vị).

Lời giải:

Theo yêu cầu bài ra, ta cần tìm t sao cho V(t) ≤ 300

⇔ 780 ∙ (0,905)t ≤ 300

.

Ta có 9,6 ≈ 10. Vậy sau khoảng 10 năm sử dụng thì giá trị của chiếc ô tô đó còn lại không quá 300 triệu đồng.

1. Phương trình mũ

Hoạt động 1: Nhận biết nghiệm phương trình mũ

Xét phương trình: .

a) Khi viết  thành luỹ thừa của 2 thì phương trình trên trở thành phương trình nào?

b) So sánh số mũ của 2 ở hai vế của phương trình nhận được ở câu a để tìm x.

Lời giải:

a) PT có dạng 2x+1=22.

b) So sánh số mũ của 2 ở hai vế của phương trình ta được:

x+1=2x=3


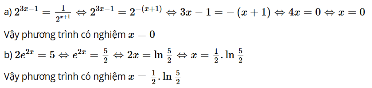
Luyện tập 1: Giải các phương trình sau:

a) ;

b) 2e2x = 5.

Lời giải:


2. Phương trình Lôgarit

Hoạt động 2: Nhận biết nghiệm của phương trình lôgarit

Xét phương trình: 2log2x = – 3.

a) Từ phương trình trên, hãy tính log2x.

b) Từ kết quả ở câu a và sử dụng định nghĩa lôgarit, hãy tìm x.

Lời giải:

a) Ta có 2log2x = – 3 .

b) Từ định nghĩa lôgarit ta có:

.

Luyện tập 2: Giải các phương trình sau:

a) 4 – log(3 – x) = 3;

b) log2(x + 2) + log2(x – 1) = 1.

Lời giải:

a) Điều kiện 3-x>0 hay x<3

4log(3x)=3log(3x)=1101=3x

Vậy nghiệm của phương trình là x=2. thỏa mãn điều kiện

b) Điều kiện x+2>0 và x-1>0 tức là x>1 

(x+2)(x1)=2x2+x4=0

Vậy pt có nghiệm x=1+172


3. Bất phương trình mũ

Hoạt động 3: Nhận biết nghiệm của bất phương trình mũ

Cho đồ thị của các hàm số y = 2x và y = 4 như Hình 6.7. Tìm khoảng giá trị của x mà đồ thị hàm số y = 2x nằm phía trên đường thẳng y = 4 và từ đó suy ra tập nghiệm của bất phương trình 2x > 4.

HĐ3 trang 22 Toán 11 Tập 2 | Kết nối tri thức Giải Toán 11

Lời giải:


Luyện tập 3: Giải các bất phương trình sau:

a) 0,12x – 1 ≤ 0,12 – x;

b) 3 ∙ 2x + 1 ≤ 1.

Lời giải:

a)2x12x3x3x1

b)2x+113x+1log213x2,584


4. Bất phương trình Lôgarit

Hoạt động 4: Nhận biết nghiệm của bất phương trình lôgarit

Cho đồ thị của các hàm số y = log2x và y = 2 như Hình 6.8. Tìm khoảng giá trị của x mà đồ thị hàm số y = log2x nằm phía trên đường thẳng y = 2 và từ đó suy ra tập nghiệm của bất phương trình log2 x > 2.

HĐ4 trang 23 Toán 11 Tập 2 | Kết nối tri thức Giải Toán 11

Lời giải:


Luyện tập 4: Giải các bất phương trình sau:

a) ;

b) 2log(2x + 1) > 3.

Lời giải:

a) 

Luyện tập 4 trang 24 Toán 11 Tập 2 | Kết nối tri thức Giải Toán 11

Bất phương trình đã cho tương đương với 

⇔ – log(x + 1) > log7(2 – x)

⇔ log7(x + 1)– 1 > log7(2 – x)

⇔ (x + 1)– 1 > 2 – x (do 7 > 1).

 (*)

Mà – 1 < x < 2 nên x + 1 > 0, do đó (*) ⇔ x2 – x – 1 > 0 Luyện tập 4 trang 24 Toán 11 Tập 2 | Kết nối tri thức Giải Toán 11

Kết hợp với điều kiện ta được Luyện tập 4 trang 24 Toán 11 Tập 2 | Kết nối tri thức Giải Toán 11

Vậy tập nghiệm của bất phương trình đã cho là .

b) 2log(2x + 1) > 3

Điều kiện: 2x + 1 > 0 ⇔ x > .

Bất phương trình đã cho tương đương với 

.

Kết hợp với điều kiện, vậy tập nghiệm của bất phương trình đã cho là .

Vận dụng: Áp suất khí quyển p (tính bằng kilôpascan, viết tắt là kPa) ở độ cao h (so với mực nước biển, tính bằng km) được tính theo công thức sau:

.

(Theo britannica.com)

a) Tính áp suất khí quyển ở độ cao 4 km.

b) Ở độ cao trên 10 km thì áp suất khí quyển sẽ như thế nào?

Lời giải:

a)Áp suất khí quyển ở độ cao 4 km được tính bằng cách đưa giá trị h=4 vào công thức:

ln(p100)=h7=47

Giải phương trình này để tìm giá trị của p:

p100=e47p=100e4750,75kPa

b) Để tính áp suất khí quyển ở độ cao 10 km, ta đưa giá trị h=10 vào công thức ban đầu:

ln(p100)=h7=107

Giải phương trình này để tìm giá trị của p:

p100=e107p=100e10725,27kPa


Bài tập

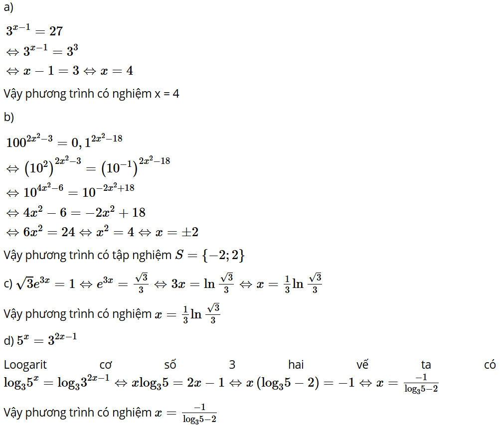
Bài 6.20: Giải các phương trình sau:

a) 3x – 1 = 27;

b) ;

c) ;

d) 5x = 32x – 1.

Lời giải:


Bài 6.21: Giải các phương trình sau:

a) log(x + 1) = 2;

b) 2log4x + log2(x – 3) = 2;

c) lnx + ln(x – 1) = ln4x;

d) log3(x2 – 3x + 2) = log3(2x – 4).

Lời giải:

a) log(x + 1) = 2

Điều kiện: x + 1 > 0 ⇔ x > – 1.

Phương trình đã cho tương đương với x + 1 = 102 ⇔ x = 100 – 1 ⇔ x = 99 (t/m).

Vậy phương trình đã cho có nghiệm duy nhất x = 99.

b) 2log4x + log2(x – 3) = 2

Bài 6.21 trang 24 Toán 11 Tập 2 | Kết nối tri thức Giải Toán 11

Ta có 2log4x + log2(x – 3) = 2

⇔ log2x + log2(x – 3) = 2

⇔ log2x(x – 3) = 2

⇔ x(x – 3) = 22

⇔ x2 – 3x – 4 = 0

⇔ x = – 1 hoặc x = 4.

Kết hợp với điều kiện, vậy phương trình đã cho có nghiệm duy nhất x = 4.

c) lnx + ln(x – 1) = ln4x

Bài 6.21 trang 24 Toán 11 Tập 2 | Kết nối tri thức Giải Toán 11

Ta có: lnx + ln(x – 1) = ln4x

⇔ lnx(x – 1) = ln4x

⇔ x(x – 1) = 4x

⇔ x– 5x = 0

⇔ x(x – 5) = 0

⇔ x = 0 hoặc x = 5.

Kết hợp với điều kiện, vậy phương trình đã cho có nghiệm duy nhất x = 5.

d) log3(x2 – 3x + 2) = log3(2x – 4)

Bài 6.21 trang 24 Toán 11 Tập 2 | Kết nối tri thức Giải Toán 11

Phương trình đã cho tương đương với

x2 – 3x + 2 = 2x – 4

⇔ x– 5x + 6 = 0

⇔ x = 2 hoặc x = 3.

Kết hợp với điều kiện, vậy phương trình đã cho có nghiệm duy nhất x = 3.

Bài 6.22: Giải các bất phương trình sau:

a) 0,12 – x > 0,14 + 2x;

b) 2 . 52x + 1 ≤ 3;

c) log3(x + 7) ≥ – 1;

d) log0,5(x + 7) ≥ log0,5(2x – 1).

Lời giải:

a)

2x>4+2x2>3xx>23

b)

2,52x+12,532,52,52x65

ln(2,52x)ln(65)2xln(2,5)ln(65)

xln652ln2,50,317

c)

log3(x+7)131x+713x+7x205

d)log0,5(x+7)log0,5(2x1)x+72x1x

Bài 6.23: Bác Minh gửi tiết kiệm 500 triệu đồng ở một ngân hàng với lãi suất không đổi 7,5% một năm theo thể thức lãi kép kì hạn 12 tháng. Tổng số tiền bác Minh thu được (cả vốn lẫn lãi) sau n năm là:

A = 500 ∙ (1 + 0,075)n (triệu đồng).

Tính thời gian tối thiểu gửi tiết kiệm để bác Minh thu được ít nhất 800 triệu đồng (cả vốn lẫn lãi).

Lời giải:


Bài 6.24: Số lượng vi khuẩn ban đầu trong một mẻ nuôi cấy là 500 con. Người ta lấy một mẫu vi khuẩn trong mẻ nuôi cấy đó, đếm số lượng vi khuẩn và thấy rằng tỉ lệ tăng trưởng vi khuẩn là 40% mỗi giờ. Khi đó số lượng vi khuẩn N(t) sau t giờ nuôi cấy được ước tính bằng công thức sau:

N(t) = 500e0,4t.

Hỏi sau bao nhiêu giờ nuôi cấy, số lượng vi khuẩn vượt mức 80 000 con?

Lời giải:

Số lượng vi khuẩn vượt mức 80 000 con khi N(t) > 80 000

⇔ 500e0,4t > 80 000 ⇔ e0,4t > 160 ⇔ 0,4t > ln160 ⇔ t >  ≈ 12,69.

Vậy sau khoảng 12,69 giờ nuôi cấy, số lượng vi khuẩn vượt mức 80 000 con.

Bài 6.25: Giả sử nhiệt độ T (℃)của một vật giảm dần theo thời gian cho bởi công thức: T = 25 + 70e– 0,5t, trong đó thời gian t được tính bằng phút.

a) Tìm nhiệt độ ban đầu của vật.

b) Sau bao lâu nhiệt độ của vật còn lại 30 ℃.

Lời giải:

a) Nhiệt độ ban đầu của vật:

T=25+70e0,5t=25+70e0,5×0=25+70=95

b) Để tìm thời gian t mà nhiệt độ của vật còn lại 30C

30=25+70e0,5tln302570=0,5t

Giải phương trình trên ta tìm được giá trị của t

t=2ln176,04

Vậy sau khoảng 6,04 phút nhiệt độ của vật sẽ giảm còn 30C

Bài 6.26: Tính nồng độ ion hydrogen (tính bằng mol/lít) của một dung dịch có độ pH là 8.

Lời giải:

Độ pH của một dung dịch được tính bằng công thức:

pH = −log10[H+]

⇒[H+] = 10 - pH

Do đó, nồng độ ion hydrogen của dung dịch có độ pH = 8 là: [H+] = 10- 8 (mol/lít)

Vậy, nồng độ ion hydrogen của dung dịch là 10-8 mol/lít.