Giải SGK Toán 11 Kết nối tri thức Bài tập cuối chương VI

A. Trắc nghiệm

Bài 6.27: Cho hai số thực dương x, y và hai số thực α, β tùy ý. Khẳng định nào sau đây là sai?

A. xα ∙ xβ = xα + β.

B. xα ∙ yβ = (xy)α + β.

C. (xα)β = xα ∙ β.

D. (xy)α = xα ∙ yα.

Đáp án: B

Không có công thức lũy thừa cho hai lũy thừa không cùng số mũ và không cùng cơ số, do đó đáp án B sai.

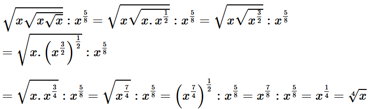
Bài 6.28: Rút gọn biểu thức  ta được

A. .

B. .

C. .

D. .

Đáp án: A


Bài 6.29: Cho hai số thực dương a, b với a ≠ 1. Khẳng định nào sau đây là đúng?

A. loga(a3b2) = 3 + logab.

B. loga(a3b2) = 3 + 2logab.

C. loga(a3b2) =  logab.

D. loga(a3b2) = .

Đáp án: B

loga(a3b2)=3+2logab

loga(a3b2)=loga(a3)+loga(b2)

=3loga(a)+2loga(b)=3+2loga(b)


Bài 6.30: Cho bốn số thực dương a, b, x, y với a, b ≠ 1. Khẳng định nào sau đây là sai?

A. loga(xy) = logax + logay.

B. .

C. .

D. logab ∙ logbx = logax.

Đáp án: C

Theo tính chất của lôgarit, ta thấy các công thức ở các đáp án A, B, D đúng.

Với đáp án C, ta có .

Bài 6.31: Đặt log25 = a, log35 = b. Khi đó, log65 tính theo a và b bằng

A. .

B. .

C. a2 + b2.

D. a + b.

Đáp án: A


Bài 6.32: Cho hàm số y = 2x. Khẳng định nào sau đây là sai?

A. Tập xác định của hàm số là ℝ.

B. Tập giá trị của hàm số là (0; + ∞).

C. Đồ thị của hàm số cắt trục Ox tại đúng một điểm.

D. Hàm số đồng biến trên tập xác định của nó.

Đáp án: C

Ta có hàm số y = 2x­:

+ Có tập xác định là ℝ.

+ Có tập giá trị của hàm số là (0; + ∞).

+ Đồng biến trên ℝ (do 2 > 1).

+ Đồ thị của hàm số luôn nằm phía trên trục Ox.

Do vậy đáp án C sai.

Bài 6.33: Hàm số nào sau đây đồng biến trên tập xác định của nó?

A. y = log0,5­x.

B. y = e– x.

C. .

D. y = ln x.

Đáp án: D

y=lnx đồng biến trên tập xác định (0,+) của nó vì đạo hàm của nó là 1x, là một hàm dương trên tập xác định (0,+) của nó.

Bài 6.34: Cho đồ thị ba hàm số y = logax, y = logbx và y = logcx như hình bên. Mệnh đề nào sau đây là đúng?

Bài 6.34 trang 25 Toán 11 Tập 2 | Kết nối tri thức Giải Toán 11

A. a > b > c.

B. b > a > c.

C. a > c > b.

D. b > c > a.

Lời giải:

Quan sát đồ thị ta thấy:

+ Hàm số y = logax và y = logbx đồng biến trên (0; + ∞) nên a, b > 1.

+ Hàm số y = logcx nghịch biến trên (0; + ∞) nên c < 1.

+ Với x > 1, ta có logax > logb⇔ logxa < logxb ⇔ a < b.

Vậy c < a < b hay b > a > c.

B. Tự luận

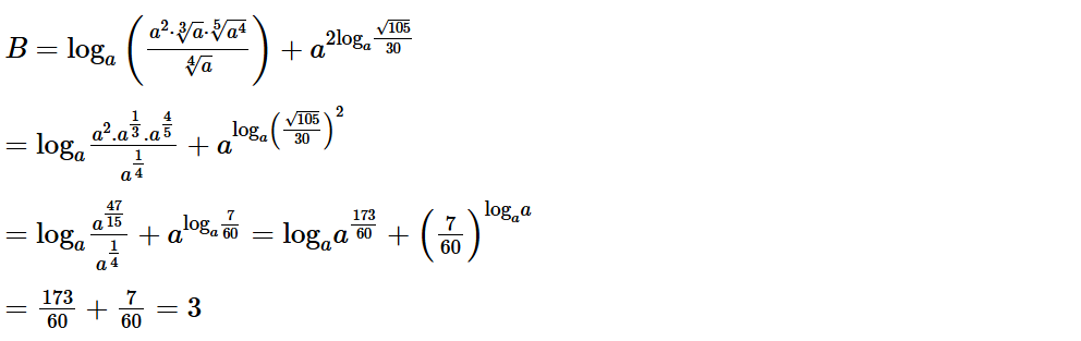
Bài 6.35: Cho 0 < a ≠ 1. Tính giá trị của biểu thức .

Lời giải:


Bài 6.36: Giải các phương trình sau:

a) 31 – 2x = 4x;

b) log3(x + 1) + log3(x + 4) = 2.

Lời giải:

a) Ta có 312=31=13 và 4x=(22)x=22x.

Vậy phương trình trở thành 13=22x, hay log213=2x.

Từ đó, x=12log213=log213=log213=log233.

b) Áp dụng tính chất loga(mn)=logam+logan, phương trình trở thành:

log3[(x+1)(x+4)]=2

(x+1)(x+4)=32

x2+5x+4=9x2+5x5=0(x+5)(x1)=0

Nghiệm x=1 thỏa mãn đề bài


Bài 6.37: Tìm tập xác định của các hàm số sau:

a) ;

b) y = ln(1 – lnx).

Lời giải:

a) Biểu thức  có nghĩa khi 4x – 2x + 1 ≥ 0 ⇔ (22)x – 2x . 2 ≥ 0

⇔ (2x)2 – 2x . 2 ≥ 0 ⇔ 2x(2x – 2) ≥ 0 ⇔ 2x – 2 ≥ 0 (do 2x > 0 với mọi số thực x)

⇔ 2x ≥ 2 ⇔ x ≥ 1.

Vậy tập xác định của hàm số  là D = [1; + ∞).

b) Biểu thức ln(1 – lnx) có nghĩa khi Bài 6.37 trang 26 Toán 11 Tập 2 | Kết nối tri thức Giải Toán 11

Bài 6.37 trang 26 Toán 11 Tập 2 | Kết nối tri thức Giải Toán 11

Vậy tập xác định của hàm số y = ln(1 – lnx) là D = (0; e).

Bài 6.38: Lạm phát là sự tăng mức giá chung một cách liên tục của hàng hoá và dịch vụ theo thời gian, tức là sự mất giá trị của một loại tiền tệ nào đó. Chẳng hạn, nếu lạm phát là 5% một năm thì sức mua của 1 triệu đồng sau một năm chỉ còn là 950 nghìn đồng (vì đã giảm mất 5% của 1 triệu đồng, tức là 50 000 đồng). Nói chung, nếu tỉ lệ lạm phát trung bình là r% một năm thì tổng số tiền P ban đầu, sau n năm số tiền đó chỉ còn giá trị là

.

a) Nếu tỉ lệ lạm phát là 8% một năm thì sức mua của 100 triệu đồng sau hai năm sẽ còn lại bao nhiêu?

b) Nếu sức mua của 100 triệu đồng sau hai năm chỉ còn là 90 triệu đồng thì tỉ lệ lạm phát trung bình của hai năm đó là bao nhiêu?

c) Nếu tỉ lệ lạm phát là 5% một năm thì sau bao nhiêu năm sức mua của số tiền ban đầu chỉ còn lại một nửa?

Lời giải:


Bài 6.39: Giả sử quá trình nuôi cấy vi khuẩn tuân theo quy luật tăng trưởng tự do. Khi đó, nếu gọi N0 là số lượng vi khuẩn ban đầu và N(t) là số lượng vi khuẩn sau t giờ thì ta có:

N(t) = N0ert,

trong đó r là tỉ lệ tăng trưởng vi khuẩn mỗi giờ.

Giả sử ban đầu có 500 con vi khuẩn và sau 1 giờ tăng lên 800 con. Hỏi:

a) Sau 5 giờ thì số lượng vi khuẩn là khoảng bao nhiêu con?

b) Sau bao lâu thì số lượng vi khuẩn ban đầu sẽ tăng lên gấp đôi?

Lời giải:

a) Do ban đầu có 500 con vi khuẩn và sau 1 giờ tăng lên 800 con nên N0 = 500 và với t = 1 thì N1 = 800 nên ta có: 800 = 500er ∙ 1 ⇔ er = 1,6 ⇔ r = ln1,6.

Khi đó N(t) = 500eln1,6t.

Với t = 5, ta có N(5) = 500eln1,6 ∙ 5 = 5242,88.

Vậy sau 5 giờ thì số lượng vi khuẩn khoảng 5 242 con.

b) Số lượng vi khuẩn tăng gấp đôi, tức là tăng lên 1 000 con.

Ta có: 1 000 = 500eln1,6t ⇔ eln1,6t = 2 ⇔ (eln1,6)t = 2 ⇔ 1,6t = 2 ⇔ t = log1,62 ≈ 1,47.

Vậy sau khoảng 1,47 giờ thì số lượng vi khuẩn ban đầu sẽ tăng lên gấp đôi.

Bài 6.40: Vào năm 1938, nhà vật lí Frank Benford đã đưa ra một phương pháp để xác định xem một bộ số đã được chọn ngẫu nhiên hay đã được chọn theo cách thủ công. Nếu bộ số này không được chọn ngẫu nhiên thì công thức Benford sau sẽ được dùng ước tính xác suất P để chữ số d là chữ số đầu tiên của bộ số đó: . (Theo F.Benford, The Law of Anomalous Numbers, Proc. Am. Philos. Soc. 78 (1938), 551 – 572).

Chẳng hạn, xác suất để chữ số đầu tiên là 9 bằng khoảng 4,6% (thay d = 9 trong công thức Benford để tính P).

a) Viết công thức tìm chữ số d nếu cho trước xác suất P.

b) Tìm chữ số có xác suất bằng 9,7% được chọn.

c) Tính xác suất để chữ số đầu tiên là 1.

Lời giải:

a) Ta có công thức tính xác suất P như sau:

P=logd+1d

P=logd+1dd+1d=ePd+1=dePd=1eP1

b) Để tìm chữ số có xác suất bằng 9,7%, ta giải phương trình sau theo d:

logd+1d=log109,7d+1d=109,7d+1=10,97=1,03

Vậy chữ số có xác suất bằng 9,7% là 1.

c) Để tính xác suất để chữ số đầu tiên là 1, ta thay d = 1 vào công thức tính P:

P=log1+11=log20,3