Giải SGK Toán 11 Kết nối tri thức Bài 25: Hai mặt phẳng vuông góc

1. Góc giữa hai mặt phẳng, hai mặt phẳng vuông góc

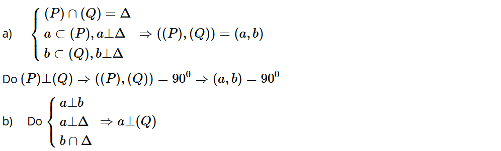
Hoạt động 1: Cho hai mặt phẳng (P) và (Q). Lấy hai đường thẳng a, a' cùng vuông góc với (P), hai đường thẳng b, b' cùng vuông góc với (Q). Tìm mối quan hệ giữa các góc (a, b) và (a', b').

HĐ1 trang 44 Toán 11 Tập 2 | Kết nối tri thức Giải Toán 11

Lời giải:

Vì a, a' đều vuông góc với (P), b, b' đều vuông góc với (Q) nên ta có thể suy ra:

+ Góc giữa a và b bằng góc giữa a' và b' (vì hai góc này đều là góc giữa hai đường thẳng vuông góc với nhau).

+ Góc giữa a và a' bằng góc giữa b và b' (vì hai góc này đều là góc giữa hai đường thẳng cùng vuông góc với hai mặt phẳng khác nhau).

+ Hai góc (a,b) và (a',b') đều bằng góc giữa đường thẳng a (a') và đường thẳng b (b').

Từ đó suy ra, góc (a,b) bằng góc (a',b') (do cùng bằng góc giữa a và b, và giữa a' và b' đều có mối quan hệ tương tự). Vậy mối quan hệ giữa hai góc (a,b) và (a',b') là bằng nhau.


Câu hỏi: Góc giữa hai mặt phẳng bằng 0° khi nào, khác 0° khi nào?

Lời giải:

Xét a ⊥ (P) và b ⊥ (Q).

Khi đó (a, b) là góc giữa hai mặt phẳng (P) và (Q).

Góc giữa hai mặt phẳng (P) và (Q) bằng 0° tức (a, b) = 0° khi a và b song song hoặc trùng nhau hay (P) và (Q) song song hoặc trùng nhau.

Vậy góc giữa hai mặt phẳng bằng 0° khi và chỉ khi hai mặt phẳng đó song song hoặc trùng nhau.

Góc giữa hai mặt phẳng khác 0° khi hai mặt phẳng đó giao nhau.

Luyện tập 1: Cho hình chóp S.ABCD, đáy ABCD là một hình chữ nhật có tâm O, SO ⊥ (ABCD). Chứng minh rằng hai mặt phẳng (SAC) và (SBD) vuông góc với nhau khi và chỉ khi ABCD là một hình vuông.

Lời giải:



2. Điều kiện để hai mặt phẳng vuông góc

Hoạt động 2: Cho mặt phẳng (P) chứa đường thẳng b vuông góc với mặt phẳng (Q). Lấy một đường thẳng a vuông góc với (P). (H.7.47).

HĐ2 trang 45 Toán 11 Tập 2 | Kết nối tri thức Giải Toán 11

a) Tính góc giữa a và b.

b) Tính góc giữa (P) và (Q).

Lời giải:

a) Chọn một điểm A trên đường thẳng a và kết nối A với bằng một đường thẳng tạo thành một mặt phẳng (S) vuông góc với cả a và b. Gọi H là hình chiếu của A trên đường thẳng b, ta có thể xây được một mặt phẳng chứa a và b là mặt phẳng (T) qua A và H.

Khi đó, góc giữa a và b bằng góc giữa hai mặt phẳng (S) và (T).

b) Chọn một điểm B trên đường thẳng b và kết nối B với một điểm C trên (Q) bằng một đường thẳng tạo thành một mặt phẳng (U) vuông góc với cả b và (Q). Gọi K là hình chiếu của B trên (P), ta có thể xây được đường thẳng c là đường thẳng (KL) đi qua K và vuông góc với (P).

Khi đó, góc giữa (P) và (Q) bằng góc giữa đường thẳng b và c.


Luyện tập 2: Trong HĐ1 của Bài 23, ta đã nhận ra rằng đường thẳng nối các bản lề của cửa phòng vuông góc với sàn nhà. Hãy giải thích vì sao trong quá trình đóng – mở, cánh cửa luôn vuông góc với sàn nhà.

Lời giải:

- Vì mặt phẳng cánh cửa chứa đường thẳng nối các bản lề của cửa phòng, mà đường thẳng nối các bản lề của cửa phòng vuông góc với sàn nhà nên mặt phẳng cánh cửa chứa đường thẳng nối các bản lề của cửa phòng luôn vuông góc với sàn nhà. Do đó trong quá trình đóng – mở, cánh cửa luôn vuông góc với sàn nhà.

3. Tính chất của hai mặt phẳng vuông góc

Hoạt động 3: Cho hai mặt phẳng (P) và (Q) vuông góc với nhau. Kẻ đường thẳng a thuộc (P) và vuông góc với giao tuyến ∆ của (P) và (Q). Gọi O là giao điểm của a và ∆. Trong mặt phẳng (Q), gọi b là đường thẳng vuông góc với ∆ tại O.

HĐ3 trang 46 Toán 11 Tập 2 | Kết nối tri thức Giải Toán 11

a) Tính góc giữa a và b.

b) Tìm mối quan hệ giữa a và (Q).

Lời giải:


Hoạt động 4: Cho hai mặt phẳng (P) và (Q) cắt nhau theo giao tuyến a và cùng vuông góc với mặt phẳng (R). Gọi O là một điểm thuộc a và a' là đường thẳng qua O và vuông góc với (R).

HĐ4 trang 46 Toán 11 Tập 2 | Kết nối tri thức Giải Toán 11

a) Hỏi a' có nằm trong các mặt phẳng (P), (Q) hay không?

b) Tìm mối quan hệ giữa a và a'.

c) Tìm mối quan hệ giữa a và (R).

Lời giải:

a) Vì (P) ⊥ (R) và a' là đường thẳng qua O thuộc (P) mà a' ⊥ (R) nên a' thuộc (P) hay a' nằm trong mặt phẳng (P).

Vì (Q) ⊥ (R) và a' là đường thẳng qua O thuộc (Q) mà a' ⊥ (R) nên a' thuộc (Q) hay a' nằm trong mặt phẳng (Q).

b) Vì a' nằm trong hai mặt phẳng (P) và (Q) nên a' là giao tuyến của hai mặt phẳng (P) và (Q). Lại có theo đề hai mặt phẳng (P) và (Q) cắt nhau theo giao tuyến a nên a và a' trùng nhau.

c) Vì a' ⊥ (R) mà a và a' trùng nhau nên a ⊥ (R).

Luyện tập 3: Với giả thiết như ở Ví dụ 3, Cho hình chóp S.ABCD có đáy là hình chữ nhật và SA ⊥ (ABCD). Gọi B', C', D' tương ứng là hình chiếu của A trên SB, SC, SD. Chứng minh rằng:

a) Các mặt phẳng (AB'C'D') và (ABCD) cùng vuông góc với (SAC);

b) Giao tuyến của hai mặt phẳng (AB'C'D') và (ABCD) là đường thẳng đi qua A, nằm trong mặt phẳng (ABCD) và vuông góc với AC.

Lời giải:

a) Ta đã chứng minh được AB(SBC) và AD(SCD). Vì vậy, AB' và AD' cùng nằm trong mặt phẳng vuông góc với đường thẳng (SBC) và (SCD) khi đi qua A, tức là cùng vuông góc với mặt phẳng (SAC).

Tương tự, ta có BC(SAB) và BD(SCD), nên B'C' và B'D' cùng nằm trong mặt phẳng vuông góc với đường thẳng (SAB) và (SCD) khi đi qua A, tức là cùng vuông góc với mặt phẳng (SAC).

Vậy (AB'C'D') và (ABCD) đều vuông góc với (SAC).

b) Từ câu a, ta biết rằng mặt phẳng (ABCD)(SAC), do đó đường thẳng đi qua A và vuông góc với (SAC) chính là đường thẳng AC.

Do đó, để chứng minh giao tuyến của hai mặt phẳng (AB'C'D') và (ABCD) là đường thẳng đi qua A, nằm trong mặt phẳng (ABCD)AC, ta chỉ cần chứng minh rằng đường thẳng AC đi qua các điểm B', C', D'.

Từ đó suy ra đường thẳng AC là đường thẳng giao của hai mặt phẳng (AB'C'D') và (ABCD), và nó nằm trong mặt phẳng (ABCD) và vuông góc với AC.


4. Góc nhị diện


Hoạt động 5: Một tài liệu hướng dẫn rằng đối với ghế bàn ăn, nên thiết kế lưng ghế tạo với mặt ghế một góc có số đo từ 100° đến 105°. Trong hình 7.51, các tia Ox, Oy được vẽ tương ứng trên mặt ghế, lưng ghế đồng thời vuông góc với giao tuyến a của mặt ghế và lưng ghế.

a) Theo tài liệu nói trên, góc nào trong hình bên có số đo từ 100° đến 105°.

b) Nếu thiết kế theo hướng dẫn đó thì góc giữa mặt phẳng chứa mặt ghế và mặt phẳng chứa lưng ghế có thể nhận số đo từ bao nhiêu đến bao nhiêu độ?

HĐ5 trang 47 Toán 11 Tập 2 | Kết nối tri thức Giải Toán 11

Lời giải:

a) Theo tài liệu nói trên, góc xOy trong hình nên có số đo từ 100° đến 105°

b) Vì các tia Ox, Oy được vẽ tương ứng trên mặt ghế, lưng ghế đồng thời vuông góc với giao tuyến a của mặt ghế và lưng ghế nên góc giữa lưng ghế và mặt ghế là góc giữa Ox và Oy mà góc xOy có số đo từ 100° đến 105°

Do đó nếu thiết kế theo hướng dẫn đó thì góc giữa mặt phẳng chứa mặt ghế và mặt phẳng chứa lưng ghế có thể nhận số đo 750 đến 800

Luyện tập 4: Cho hình chóp S.ABC có SA ⊥ (ABC), AB = AC = a, . Gọi M là trung điểm của BC.

a) Chứng minh rằng  là một góc phẳng của góc nhị diện [S, BC, A].

b) Tính số đo của góc nhị diện [S, BC, A].

Lời giải:

Luyện tập 4 trang 48 Toán 11 Tập 2 | Kết nối tri thức Giải Toán 11

a) Xét tam giác ABC có AB = AC nên tam giác ABC cân tại A mà AM là trung tuyến nên AM là đường cao hay AM ⊥ BC.

Vì SA ⊥ (ABC) nên SA ⊥ BC mà AM ⊥ BC, suy ra BC ⊥ (SAM), do đó BC ⊥ SM.

Vì AM ⊥ BC và BC ⊥ SM nên là một góc phẳng của góc nhị diện [S, BC, A].

b) Áp dụng định lí Côsin cho tam giác ABC, có:

   .

Vì M là trung điểm của BC nên .

Xét tam giác AMB vuông tại M, có 

Vì SA ⊥ (ABC) nên SA ⊥ AM.

Xét tam giác SAM vuông tại A, có:  .

Vậy số đo của góc nhị diện [S, BC, A] bằng 30°.

Vận dụng 1: Trong cửa sổ ở Hình 7.56, cánh và khung cửa là các nửa hình tròn có đường kính 80 cm, bản lề được đính ở điểm chính giữa O của các cung tròn khung và cánh cửa. Khi cửa mở, đường kính của khung và đường kính của cánh song song với nhau và cách nhau một khoảng d; khi cửa đóng, hai đường kính đó trùng nhau. Hãy tính số đo của góc nhị diện có hai nửa mặt phẳng tương ứng chứa cánh, khung cửa khi d = 40 cm.

Vận dụng 1 trang 48 Toán 11 Tập 2 | Kết nối tri thức Giải Toán 11

Lời giải:


5. Một số hình lăng trụ đặc biệt

Hoạt động 6: Các mặt bên của lăng trụ đứng là các hình gì và các mặt bên đó có vuông góc với mặt đáy không? Vì sao?

Lời giải:

- Các mặt bên của hình lăng trụ đứng là hình chữ nhật.

- Vì hình lăng trụ đứng có cạnh bên vuông góc với mặt đáy nên các mặt bên có vuông góc với mặt đáy.

Hoạt động 7: Các mặt bên của hình lăng trụ đều có phải là các hình chữ nhật có cùng kích thước hay không? Vì sao?

Lời giải:

- Hình lăng trụ đều trước hết là hình lăng trụ đứng nên các mặt bên của nó là các hình chữ nhật.

- Mặt khác, các cạnh đáy của lăng trụ đều bằng nhau và các cạnh bên của một lăng trụ luôn bằng nhau. Do đó các mặt bên của hình lăng trụ đều là các hình chữ nhật có cùng kích thước.

Hoạt động 8: Trong 6 mặt của hình hộp đứng, có ít nhất bao nhiêu mặt là hình chữ nhật? Vì sao?

Lời giải:

- Trong 6 mặt của hình hộp đứng, ít nhất 4 mặt là hình chữ nhật. Đó là vì hình hộp được tạo thành từ hai hình vuông kề nhau và các đường thẳng nối các cạnh của hai hình vuông này đều là các đoạn thẳng và song song với các mặt hình vuông. Do đó, các mặt đối diện của hình hộp đó là các hình chữ nhật, tức là ít nhất có 4 mặt của hình hộp là hình chữ nhật.

Hoạt động 9:

a) Hình hộp chữ nhật có bao nhiêu mặt là hình chữ nhật? Vì sao?

b) Các đường chéo của hình hộp chữ nhật có bằng nhau và cắt nhau tại trung điểm mỗi đường hay không? Vì sao?

Lời giải:

a) Hình hộp chữ nhật có 6 mặt là hình chữ nhật vì hình hộp đứng có các mặt bên là hình chữ nhật và hình hộp chữ nhật có đáy là hình chữ nhât.

b) Các đường chéo của hình hộp chữ nhật có bằng nhau và cắt nhau tại trung điểm mỗi đường. Điều này bởi vì cứ 2 đường chéo bất kì của hình hộp chữ nhật đều xác định nằm trong 1 một hình chữ nhật và là 2 đường chéo của hình chữ nhật đó.

Hoạt động 10: Các mặt của một hình lập phương là các hình gì? Vì sao?

Lời giải:

- Hình lập phương trước hết là hình hộp chữ nhật nên các mặt đều là hình chữ nhật.

- Hơn nữa, nó có tất cả các cạnh bằng nhau nên các mặt là hình vuông.

=> Vậy các mặt của hình lập phương là hình vuông.

Vận dụng 2: Từ một tấm tôn hình chữ nhật, tại 4 góc bác Hùng cắt bỏ đi 4 hình vuông có cùng kích thước và sau đó hàn gắn các mép tại các góc như Hình 7.65. Giải thích vì sao bằng cách đó, bác Hùng nhận được chiếc thùng không nắp có dạng hình hộp chữ nhật.

Vận dụng 2 trang 50 Toán 11 Tập 2 | Kết nối tri thức Giải Toán 11

Lời giải:

- Do các hình vuông được cắt ra từ tấm tôn góc ban đầu có kích thước giống nhau, do đó khi ghép các mép lại với nhau, ta sẽ có được đường biên của chiếc hộp chữ nhật. Các cạnh của hình vuông trùng với các cạnh của hộp chữ nhật, do đó khi các mặt được ghép lại với nhau, chúng sẽ tạo thành các mặt của hộp chữ nhật. Vì vậy, bằng cách này, bác Hùng đã tạo ra một chiếc thùng hình hộp chữ nhật từ một tấm tôn hình chữ nhật ban đầu.

6. Hình chóp đều và hình chóp cụt đều

Hoạt động 11: Tháp lớn tại Bảo tàng Louvre ở Paris (H.7.66) (với kết cấu kính và kim loại) có dạng  hình chóp với đáy là hình vuông có cạnh bằng 34 m, các cạnh bên bằng nhau và có độ dài xấp xỉ 32,3 m (theo Wikipedia.org).

Giải thích vì sao hình chiếu của đỉnh trên đáy là tâm của đáy tháp.

HĐ11 trang 51 Toán 11 Tập 2 | Kết nối tri thức Giải Toán 11

Lời giải:

- Tháp lớn tại Bảo tàng Louvre ở Paris có dạng hình chóp với các cạnh bên bằng nhau nên hình chiếu của đỉnh trên đáy tháp sẽ cách đều 4 đỉnh ở đáy mà đáy là hình vuông do đó hình chiếu của đỉnh là tâm của đáy tháp.

Hoạt động 12: Cho hình chóp . Gọi O là hình chiếu của S trên mặt phẳng  (H.7.67).

a) Trong trường hợp hình chóp đã cho là đều, vị trí của điểm O có gì đặc biệt đối với đa giác đều ?

b) Nếu đa giác  là đều và O là tâm của đa giác đó thì hình chóp đã cho có gì đặc biệt?

HĐ12 trang 51 Toán 11 Tập 2 | Kết nối tri thức Giải Toán 11

Lời giải:

a) Do  là hình chóp đều nên SA1 = SA2 = … = SAn

Vì O là hình chiếu của S trên mặt phẳng  nên SO ⊥ .

Xét tam giác SOA1 vuông tại O, có ,

Xét tam giác SOA2 vuông tại O, có ,

…..

Xét tam giác SOAn vuông tại O, có .

Mà SA1 = SA2 = … = SAn nên OA1 = OA2 = … = OAn hay O là tâm đa giác đều .

b) Nếu đa giác  là đều và O là tâm của đa giác đó thì OA1 = OA2 = … = OAn .

Vì O là hình chiếu của S trên mặt phẳng  nên SO ⊥ .

Xét tam giác SOA1 vuông tại O, có ,

Xét tam giác SOA2 vuông tại O, có ,

…..

Xét tam giác SOAn vuông tại O, có .

Mà OA1 = OA2 = … = OAn nên SA1 = SA2 = … = SAn .

Vậy hình chóp  là hình chóp đều.

Luyện tập 5: Cho hình chóp tam giác đều S.ABC, cạnh đáy bằng a, cạnh bên bằng . Tính số đo góc nhị diện [S, BC, A].

Lời giải:

Gọi H
 là hình chiếu vuông góc của
S lên mặt phẳng đáy ABC. Ta có:

SH2=SB2BH2

SB=a22.a2+(a52)2 và BH=a2 (do tam giác SBC đều) 

Từ đó suy ra: SH2=(a22a2+(a52)2)2(a2)2=a28

Áp dụng định lí cosin trong tam giác SAH

với AH=a63

cos(SAHˆ)=SH2+SA2AH22.SH.SA

cos(SAHˆ)=a28+a2(a63)22.a8.a=562

Vậy góc nhị diện [S, BC, A] có số đo là:

SAHˆ=cos1(562)38


Hoạt động 13: Cho hình chóp đều . Một mặt phẳng không đi qua S và song song với mặt phẳng đáy, cắt các cạnh  tương ứng tại  (H.7.69).

a) Giải thích vì sao  là một hình chóp đều.

b) Gọi H là tâm của đa giác . Chứng minh rằng đường thẳng SH đi qua tâm K của đa giác đều  và HK vuông góc với các mặt phẳng .

HĐ13 trang 52 Toán 11 Tập 2 | Kết nối tri thức Giải Toán 11

Lời giải:


Câu hỏi: Hình chóp cụt đều có các cạnh bên bằng nhau hay không?

Lời giải:

Câu hỏi trang 52 Toán 11 Tập 2 | Kết nối tri thức Giải Toán 11

Hình chóp cụt đều có các cạnh bên bằng nhau vì:

A1B1 = SA1 – SB1; A2B2 = SA2 – SB2; …; AnBn = SAn – SBn.

Dựa vào kết quả của hoạt động 13, ta có: SA1 = SA2 = … = SAn và SB1 = SB2 = …= SBn nên A1B1 = A2B2 = AnBn.

Bài tập

Bài 7.16: Cho hình chóp S.ABC có SA ⊥ (ABC). Gọi H là hình chiếu của A trên BC.

a) Chứng minh rằng (SAB) ⊥ (ABC) và (SAH) ⊥ (SBC).

b) Giả sử tam giác ABC vuông tại A, , AC = a, . Tính số đo của góc nhị diện [S, BC, A].

Lời giải:

a)  (SAB)(ABC): Vì SA(ABC) nên ta có SAAB và SAAC. Do đó, ta có thể kết luận rằng hình chiếu của S trên mặt phẳng (ABC) là A, và hình chiếu của A trên đường thẳng SB cũng nằm trên mặt phẳng (ABC), do đó (SAB) vuông góc với (ABC).

(SAH)(SBC): Gọi I là trung điểm của SA. Ta có IHBC vì H là hình chiếu của A trên BC, và SIBC vì SI là đường cao của tam giác SBC. Do đó, (SAH) vuông góc với (SBC).

b) ta có \widehat{ABC} = 30^\circ do đó AB=AC3=a3 Diện tích tam giác ABC là SABC=12.AB.AC=3a24 

Gọi H là hình chiếu vuông góc của S lên BC. Khi đó, ta có:

SBC=12.BC.SH=12.2a.a34=a234

Do đo số đo nhị diện [S.BC.A] 

SSBCSABC=a2343a24=a234

Bài 7.17: Cho hình lập phương ABCD.A'B'C'D' có cạnh bằng a.

a) Tính độ dài đường chéo của hình lập phương.

b) Chứng minh rằng (ACC'A') ⊥ (BDD'B').

c) Gọi O là tâm của hình vuông ABCD. Chứng minh rằng  là một góc phẳng của góc nhị diện [C, BD, C']. Tính (gần đúng) số đo của các góc nhị diện [C, BD, C'], [A, BD,C'].

Lời giải:



Bài 7.18: Cho hình hộp chữ nhật ABCD.A'B'C'D'.

a) Chứng minh rằng (BDD'B') ⊥ (ABCD).

b) Xác định hình chiếu của AC' trên mặt phẳng (ABCD).

c) Cho AB = a, BC = b, CC' = c. Tính AC'.

Lời giải:

Giải Toán 11 trang 53 Tập 2 Kết nối tri thức

a) Vì ABCD.A'B'C'D' là hình hộp chữ nhật nên BB' ⊥ (ABCD).

Suy ra (BDD'B') ⊥ (ABCD).

b) Vì ABCD.A'B'C'D' là hình hộp chữ nhật nên CC' ⊥ (ABCD), suy ra C là hình chiếu của C' trên mặt phẳng (ABCD).

A là hình chiếu của A trên mặt phẳng (ABCD). Do đó AC là hình chiếu của AC' trên mặt phẳng (ABCD).

c) Vì ABCD là hình chữ nhật nên .

Vì CC' ⊥ (ABCD) nên CC' ⊥ AC.

Xét tam giác C'CA vuông tại C, có .

Vậy .

Bài 7.19: Cho hình chóp đều S.ABC, đáy có cạnh bằng a, cạnh bên bằng b.

a) Tính sin của góc tạo bởi cạnh bên và mặt đáy.

b) Tính tang của góc giữa mặt phẳng chứa mặt đáy và mặt phẳng chứa mặt bên.

Lời giải:

a) Vì đây là hình chóp đều nên cạnh đáy AB có độ dài bằng a. Đường cao HS được kéo từ đỉnh S xuống mặt phẳng đáy ABC. Theo định lý Pythagoras, ta có: HS2=SA2AS2

SA=SB=SC=a2+(b2)2 và AS=b2

Thay vào công thức ta có :

HS2=(a2+b24)b24=a2

Do HS=a và góc gữa đường cao HS và cạnh đáy AB là góc θ 

sinθ=HSAB=aa=1

b)  Mặt phẳng SBC là một tam giác đều, do đó các cạnh SB và SC là phân giác của góc BSCˆ=120 .Vì vậy, góc giữa đường thẳng AB và mặt phẳng SBC là một nửa của góc BSCˆ

Do đó, tang của góc giữa mặt phẳng chứa mặt đáy và mặt phẳng chứa mặt bên là:

tanθ=tan60=3


Bài 7.20: Hai mái nhà trong Hình 7.72 là hai hình chữ nhật. Giả sử AB = 4,8 m; OA = 2,8 m; OB = 4 m.

a) Tính (gần đúng) số đo của góc nhị diện tạo bởi hai nửa mặt phẳng tương ứng chứa hai mái nhà.

b) Chứng minh rằng mặt phẳng (OAB) vuông góc với mặt đất phẳng. Lưu ý: Đường giao giữa hai mái (đường nóc) song song với mặt đất.

c) Điểm A ở độ cao (so với mặt đất) hơn điểm B là 0,5 m. Tính (gần đúng) góc giữa mái nhà (chứa OB) so với mặt đất.

Giải Toán 11 trang 53 Tập 2 Kết nối tri thức

Lời giải:

Bài 7.21: Độ dốc của mái nhà, mặt sân, con đường thẳng là tang của góc tạo bởi mái nhà, mặt sân, con đường thẳng đó với mặt phẳng nằm ngang. Độ dốc của đường thẳng dành cho người khuyết tật được quy định là không quá . Hỏi theo đó, góc tạo bởi đường dành cho người khuyết tật và mặt phẳng nằm ngang không vượt quá bao nhiêu độ? (Làm tròn kết quả đến chữ số thập phân thứ hai).

Lời giải:

Gọi  là góc tạo bởi đường dành cho người khuyết tật và mặt phẳng nằm ngang.

Vì độ dốc của đường thẳng dành cho người khuyết tật được quy định là không quá  nên .

Vậy góc tạo bởi đường dành cho người khuyết tật và mặt phẳng nằm ngang không vượt quá 4,76°.