Giải SGK Toán 11 Kết nối tri thức Bài 32: Các quy tắc tính đạo hàm

Mở đầu: Một vật được phóng theo phương thẳng đứng lên trên từ mặt đất với vận tốc ban đầu v0 = 20 m/s. Trong Vật lí, ta biết rằng khi bỏ qua sức cản của không khí, độ cao h so với mặt đất (tính bằng mét) của vật tại thời điểm t (giây) sau khi ném được cho bởi công thức sau:

h = vot - gt2trong đó, v0 là vận tốc ban đầu của vật, g = 9,8 m/s2 là gia tốc rơi tự do. Hãy tính vận tốc của vật khi nó đạt độ cao cực đại và khi nó chạm đất.

Lời giải:

Phương trình chuyển động của vật là h = vot - gt2

Vận tốc của vật tại thời điểm t được cho bởi v(t) = h' = v0 – gt.

Vật đạt độ cao cực đại tại thời điểm t1 = , tại đó vận tốc bằng v(t1) = v – gt1 = 0.

Vật chạm đất tại thời điểm t2 mà h(t2) = 0 nên ta có:

 ⇔ t2 = 0 (Loại) hoặc  .

Khi chạm đất, vận tốc của vật là v(t2) = v0 – gt2 = –v0 = –20 (m/s).

Dấu âm của v(t2) thể hiện độ cao của vật giảm với vận tốc 20 m/s (tức là chiều chuyển động của vật ngược với chiều dương đã chọn).

1. Đạo hàm của một số hàm số thường gặp

Hoạt động 1: Nhận biết đạo hàm của hàm số y = xn.

a) Tính đạo hàm của hàm số y = x3 tại điểm x bất kì.

b) Dự đoán công thức đạo hàm của hàm số y = xn (n ∈ ℕ*).

Lời giải:

a) y=3x2

b) ) y=nxn1


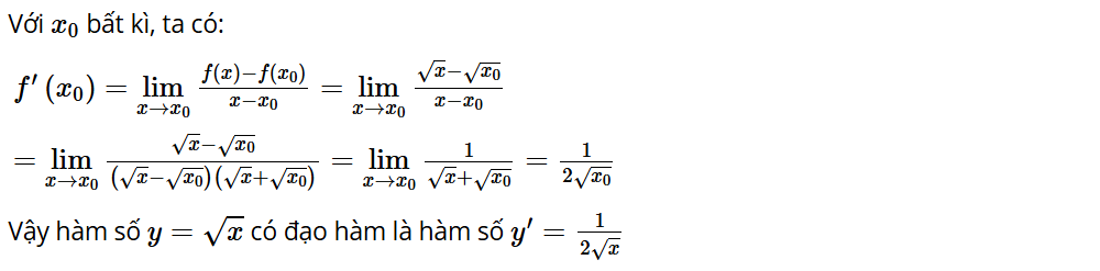
Hoạt động 2: Dùng định nghĩa, tính đạo hàm của hàm số y =  tại điểm x > 0.

Lời giải:


2. Đạo hàm của tổng, hiệu, tích, thương

Hoạt động 3: Nhận biết quy tắc đạo hàm của tổng

a) Dùng định nghĩa, tính đạo hàm của hàm số y = x3 + x2 tại điểm x bất kì.

b) So sánh: (x3 + x2)' và (x3)' + (x2)'.

Lời giải:

a)

Đặt f(x) = y = x3 + x2­.

Với x0 bất kì, ta có:

Vậy đạo hàm của hàm số y = x3 + x2 là hàm số y' = 3x2 + 2x.

b)

Ta có (x3)' = 3x2 ; (x2)' = 2x, do đó (x3)' + (x2)' = 3x2 + 2x.

Từ đó suy ra (x3 + x2)' = (x3)' + (x2)' (cùng bằng 3x2 + 2x).

Luyện tập 1: Tính đạo hàm của các hàm số sau:

a)  ;

b)  .

Lời giải:

a) y=(xx+1)

=(x)(x+1)x(x+1)(x+1)2

=12x(x+1)x(1)(x+1)2

=(x+1)2xx2(x+1)2x

b) y=((x+1)(x2+2))

=(x+1)(x2+2)+(x+1)(x2+2)

=12x(x2+2)+(x+1)(2x)

=x+4x+22x+2x(x+1)

=5x+8x+22x+2x


3. Đạo hàm của hàm số hợp

Hoạt động 4: Nhận biết quy tắc đạo hàm của hàm số hợp

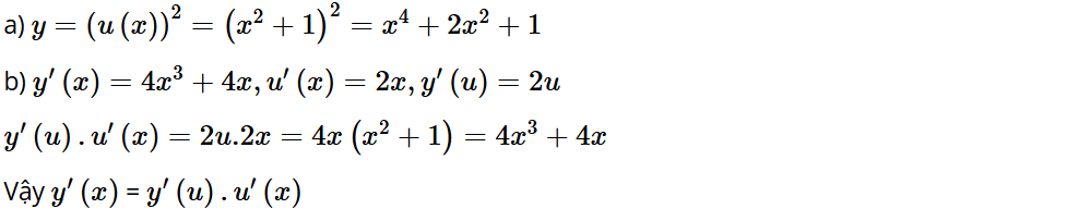
Cho các hàm số y = u2 và u = x2 + 1.

a) Viết công thức của hàm số hợp y = (u(x))2 theo biến x.

b) Tính và so sánh: y'(x) và y' (u) . u' (x).

Lời giải:


Luyện tập 2: Tính đạo hàm của các hàm số sau:

a) y = (2x – 3)10;

b) y =  .

Lời giải:

a)

y' = [(2x – 3)10]' = 10.(2x – 3). (2x – 3)' = 10.(2x – 3). 2 = 20(2x – 3)9.

b) Với x ∈ (– 1; 1), ta có:

y' =  .

4. Đạo hàm của hàm số lượng giác

Hoạt động 5: Xây dựng công thức tính đạo hàm của hàm số y = sin x

a) Với h ≠ 0, biến đổi hiệu sin(x + h) – sin x thành tích.

b) Sử dụng đẳng thức giới hạn  và kết quả của câu a, tính đạo hàm của hàm số y = sin x tại điểm x bằng định nghĩa.

Lời giải:

a) sin(x+h)sin(x)=2cos(x+h+x2)sin(x+hx2)=2cos(x+h2)sin(h2)

b) Áp dụng định nghĩa, ta có:

y(x)=limh0sin(x+h)sin(x)h=limh02cos(x+h2)sin(h2)h

Chia tử và mẫu cho 2sin(h2), ta có:

y(x)=limh0cos(x+h2)h21sin(h2)sin(h2)=limh0cos(x+h2)1h2sin(h2)h2

Áp dụng kết quả của đẳng thức giới hạn, ta có:

y(x)=cos(x)1=cos(x)


Luyện tập 3: Tính đạo hàm của hàm số  .

Lời giải:


Hoạt động 6: Xây dựng công thức tính đạo hàm của hàm số y = cos x

Bằng cách viết y = cosx =  , tính đạo hàm của hàm số y = cos x.

Lời giải:

Ta có HĐ6 trang 91 Toán 11 Tập 2 | Kết nối tri thức Giải Toán 11

.

Luyện tập 4: Tính đạo hàm của hàm số  .

Lời giải:

y=[2cos(π42x)]

=2sin(π42x)(π42x)

=2sin(π42x)(2)

=4sin(π42x)


Hoạt động 7: Xây dựng công thức tính đạo hàm của các hàm số y = tan x và y = cot x

a) Bằng cách viết  , tính đạo hàm của hàm số y = tanx.

b) Sử dụng hằng đẳng thức  với xk (k, tính đạo hàm của hàm số y = cot x.

Lời giải:


Luyện tập 5: Tính đạo hàm của hàm số  .

Lời giải:

Ta có:

Luyện tập 5 trang 92 Toán 11 Tập 2 | Kết nối tri thức Giải Toán 11

.

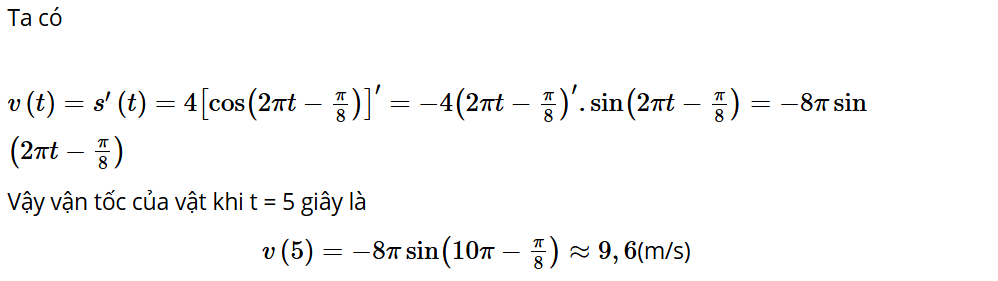
Vận dụng 1: Một vật chuyển động có phương trình s(t) = 4cos (m), với t là thời gian tính bằng giây. Tính vận tốc của vật khi t = 5 giây (làm tròn kết quả đến chữ số thập phân thứ nhất).

Lời giải:


5. Đạo hàm của hàm số mũ và hàm số Lôgarit

Hoạt động 8: Giới hạn cơ bản của hàm số mũ và hàm số lôgarit

a) Sử dụng phép đổi biến t =  , tìm giới hạn  .

b) Với  , tính ln y và tìm giới hạn của  .

c) Đặt t = ex – 1. Tính x theo t và tìm giới hạn  .

Lời giải:

a) limx0(1+x)1x=limx(1+x)1x=e

b) lny=ln[(1+x)1x]=l(1+x)x

limx0ln(1+x)x=limx011+x=1

c) limx0ex1x=limx0eln(1+t)1ln(1+t)

limx0eln(1+t)1ln(1+t)=limx0t1+t=0


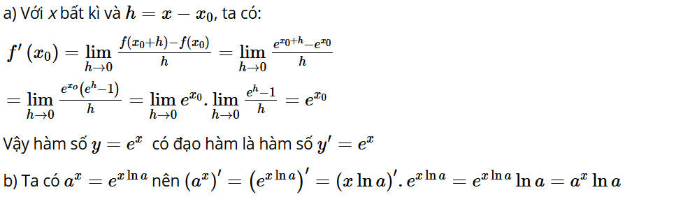
Hoạt động 9: Xây dựng công thức tính đạo hàm của hàm số mũ

a) Sử dụng giới hạn  và đẳng thức ex + h – ex = ex(eh – 1), tính đạo hàm của hàm số y = ex tại x bằng định nghĩa.

b) Sử dụng hằng đẳng thức ax = exlna (0 < a ≠ 1), hãy tính đạo hàm của hàm số y = ax.

Lời giải:


Luyện tập 6: Tính đạo hàm của các hàm số sau:

a)  ;

b) y = 3sin x .

Lời giải:

a)

.

b)

y' = (3sin x)' = 3sin x . (sin x). ln3 = 3sin x.cos x. ln3.

Hoạt động 10: Xây dựng công thức tính đạo hàm của hàm số lôgarit

a) Sử dụng giới hạn  và đẳng thức

ln(x + h) – lnx =  , tính đạo hàm của hàm số y = ln x tại điểm x > 0 bằng định nghĩa.

b) Sử dụng đẳng thức  (0 < a ≠ 1), hãy tính đạo hàm của hàm số y = logax.

Lời giải:

a) y=Inx

y=limh0In(x+h)Inxh

Sử dụng đẳng thức ln(1+t)=t+o(t) khi t0, ta có:

y=limh0ln(1+hx)h

Áp dụng giới hạn limt0ln(1+t)t=1, ta có:

y=limh0ln(1+hx)hx1x

y=limt0ln(1+t)t1x (với t=hx)

y=1x

b) y=logax=lnxlna

y=ddx(lnxlna)

y=1lnaddx(lnx)

Sử dụng kết quả đã tính ở câu a), ta có:

y=1lna1x

y=1xlnax


Luyện tập 7: Tính đạo hàm của hàm số y = log2(2x – 1).

Lời giải:


Vận dụng 2: Ta đã biết, độ pH của một dung dịch được xác định bởi pH = –log[H+], ở đó [H+] là nồng độ (mol/lít) của ion hydrogen. Tính tốc độ thay đổi của pH đối với nồng độ [H+].

Lời giải:

Tốc độ thay đổi của pH với nồng độ [H+] là đạo hàm của pH. Ta có:

pH = –log[H+] ⇒ (pH)' = (–log[H+])' = Vận dụng 2 trang 94 Toán 11 Tập 2 | Kết nối tri thức Giải Toán 11

Vậy tốc độ thay đổi của pH với nồng độ [H+] là Vận dụng 2 trang 94 Toán 11 Tập 2 | Kết nối tri thức Giải Toán 11.

Bài tập

Bài 9.6: Tính đạo hàm của các hàm số sau:

a) y = x3 – 3x2 + 2x + 1;

b) y = x2 – 4 + 3.

Lời giải:

a) y=ddx(x3)ddx(3x2)+ddx(2x)+ddx(1)

y=3x26x+2

b) ddx(xn)=nxn1 

ddx(x)=12x

ddx(f(x)+g(x))=f(x)+g(x)

ddx(cf(x))=cf(x) 

y=ddx(x2)ddx(4x)+ddx(3)

y=2x2x


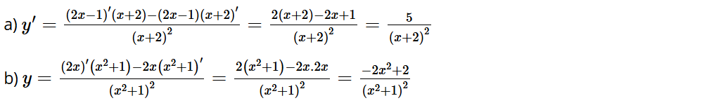
Bài 9.7: Tính đạo hàm của các hàm số sau:

a)  ;

b)  .

Lời giải:


Bài 9.8: Tính đạo hàm của các hàm số sau:

a) y = xsin2x;

b) y = cos2x + sin2x;

c) y = sin3x – 3sinx;

d) y = tanx + cotx.

Lời giải:

a)

y' = (x). sin2x + x . (sin2x)' = sin2x + x . 2 . sinx . cosx = sin2x + xsin2x.

b)

y' = (cos2x)' + (sin2x)' = 2cosx.(–sinx) + 2cos2x

= –2cosx.sinx + 2cos2x = –sin2x + 2cos2x.

c)

y' = (sin3x)' – (3sinx)' = 3cos3x – 3cosx.

d) Với  , ta có:

y' = (tanx)' + (cotx)' =  .

Bài 9.9: Tính đạo hàm các hàm số sau:

a) y =  ;

b) y = log3(4x + 1).

Lời giải:

a)y=23xx2.ln2.(32x)

b) y4ln3.14x+1.4=4(4x+1)ln3


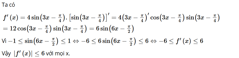
Bài 9.10: Cho hàm số f(x) =  . Chứng minh rằng |f'(x)| ≤ 6 với mọi x.

Lời giải:


Bài 9.11: Một vật chuyển động rơi tự do có phương trình h(t) = 100 – 4,9t2, ở đó độ cao h so với mặt đất tính bằng mét và thời gian t tính bằng giây. Tính vận tốc của vật:

a) Tại thời điểm t = 5 giây;

b) Khi vật chạm đất.

Lời giải:

Ta có: v(t) = h'(t) = –9,8t.

a) Vận tốc tại thời điểm t = 5 giây là:

v(5) = –9,8 . 5 = –49 (m/s).

Vậy vận tốc của vật tại thời điểm t = 5s là 49 m/s.

b)

Khi vật chạm đất h(t) = 0, tức là 100 – 4,9t2 = 0  .

Vậy vận tốc của vật khi chạm đất là  (m/s).

Ở đây, dấu âm trong các kết quả tính vận tốc thể hiện vật chuyển động thẳng đứng xuống dưới (ngược với chiều dương).

Bài 9.12: Chuyển động của một hạt trên một dây rung được cho bởi s(t) = 12 + 0,5sin(4πt), trong đó s tính bằng centimét và t tính bằng giây. Tính vận tốc của hạt sau t giây. Vận tốc cực đại của hạt là bao nhiêu ?

Lời giải:

Đạo hàm của hàm s(t) theo thời gian t:

v(t)=dsdt=2πcos(4πt)4

Ta thấy rằng hàm v(t) là một hàm cosin với biên độ bằng 2π, do đó giá trị lớn nhất của hàm này là 2π. Vậy vận tốc cực đại của hạt là 2π cm/s.