Giải SGK Toán 11 Kết nối tri thức Bài tập cuối chương VII

A. Trắc nghiệm

Bài 7.33: Cho các phát biểu sau:

(1) (P) và (Q) có giao tuyến là đường thẳng a và cùng vuông góc với mặt phẳng (R) thì a  (R).

(2) Hai mặt phẳng (P) và (Q) vuông góc với nhau và có giao tuyến là đường thẳng a, một đường thẳng b nằm trong mặt phẳng (P) và vuông góc với đường thẳng a thì b  (Q).

(3) Mặt phẳng (P) chứa đường thẳng a và a vuông góc với (Q) thì (P)  (Q).

(4) Đường thẳng a nằm trong mặt phẳng (P) và mặt phẳng (P) vuông góc với mặt phẳng (Q) thì a  (Q).

Số phát biểu đúng trong các phát biểu trên là:

A. 1.

B. 2.

C. 3.

D. 4.

Đáp án: C

+) Bài 7.33 trang 64 Toán 11 Tập 2 | Kết nối tri thức Giải Toán 11 nên (1) đúng.

+) Bài 7.33 trang 64 Toán 11 Tập 2 | Kết nối tri thức Giải Toán 11 nên (2) đúng.

+) Bài 7.33 trang 64 Toán 11 Tập 2 | Kết nối tri thức Giải Toán 11 nên (3) đúng.

+) Bài 7.33 trang 64 Toán 11 Tập 2 | Kết nối tri thức Giải Toán 11 ta chưa kết luận được a  (Q) vì có thể xảy ra trường hợp song song nên (4) sai.

Bài 7.34: Cho mặt phẳng (P) vuông góc với mặt phẳng (Q) và a là giao tuyến của (P) và (Q). Trong các phát biểu dưới đây, phát biểu nào đúng?

A. Đường thẳng d nằm trên (Q) thì d vuông góc với (P).

B. Đường thẳng d nằm trên (Q) và d vuông góc với a thì d vuông góc với (P).

C. Đường thẳng d vuông góc với a thì d vuông góc với (P).

D. Đường thẳng d vuông góc với (Q) thì d vuông góc với (P).

Lời giải:

Đáp án đúng là: B

Bài 7.34 trang 64 Toán 11 Tập 2 | Kết nối tri thức Giải Toán 11

Bài 7.35: Cho hình chóp tứ giác đều S.ABCD. Phát biểu nào sau đây là đúng?

A. Số đo của góc nhị diện [S, AB, C] bằng .

B. Số đo của góc nhị diện [D, SA, B] bằng 90°.

C. Số đo của góc nhị diện [S, AC, B] bằng 90°.

D. Số đo của góc nhị diện [D, SA, B] bằng .

Đáp án: C

Bài 7.35 trang 64 Toán 11 Tập 2 | Kết nối tri thức Giải Toán 11

Gọi O là giao điểm của AC và BD. Kẻ OE  AB tại E.

Do ABCD là hình vuông nên O là trung điểm của AC và BD.

Xét tam giác ABD có OE // AD (do cùng vuông góc với AB) mà O là trung điểm của BD nên E là trung điểm của AB.

Xét tam giác SAB có SA = SB (do S.ABCD là hình chóp tứ giác đều) nên SAB là tam giác cân tại S mà SE là trung tuyến nên SE đồng thời là đường cao hay SE  AB.

Do đó [S, AB, C] = , suy ra A sai.

Vì ABCD là hình vuông nên BO  AC, S.ABCD là hình chóp đều nên SO  (ABCD) suy ra SO  AC, SO  BD .

Vì BO  AC, SO  AC nên [S, AC, B] =  = 90o, suy ra C đúng.

Kẻ DF  SA tại F.

Vì SO  BD và AC  BD nên BD  (SAC), suy ra BD  SA mà DF  SA nên SA  (BDF), suy ra SA  BF.

Vì SA  BF và DF  SA nên [D, SA, B] = , suy ra B, D sai.

Bài 7.36: Cho hình chóp S.ABCD có đáy ABCD là hình vuông và SA  (ABCD).

Phát biểu nào sau đây là sai?

A. Đường thẳng BC vuông góc với mặt phẳng (SAB).

B. Đường thẳng BD vuông góc với mặt phẳng (SAC).

C. Đường thẳng AC vuông góc với mặt phẳng (SBD).

D. Đường thẳng AD vuông góc với mặt phẳng (SAB).

Đáp án: C

Ta có thể chứng minh rằng đường thẳng AC không vuông góc với mặt phẳng (SBD) bằng cách vẽ đường thẳng SC và chứng minh rằng đường thẳng AC không cắt đường thẳng SC theo góc vuông.

Bài 7.37: Thể tích của khối chóp có diện tích đáy bằng S, chiều cao bằng h là:

A. V = S ∙ h.

B. V = .S.h.

C. V = .S.h.

D. V = .S.h.

Đáp án: C

Ta có thể tích khối chóp là V = .S.h.

B. Tự luận

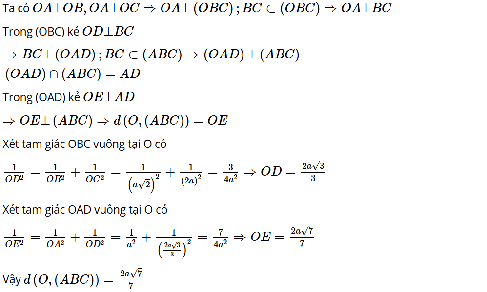
Bài 7.38: Cho tứ diện OABC có OA, OB, OC đôi một vuông góc với nhau và OA = a, OB = a và OC = 2a. Tính khoảng cách từ điểm O đến mặt phẳng ABC.

Lời giải:


Bài 7.39: Cho tứ diện ABCD có tam giác ABC cân tại A, tam giác BCD cân tại D. Gọi I là trung điểm của cạnh BC.

a) Chứng minh rằng BC  (AID).

b) Kẻ đường cao AH của tam giác AID. Chứng minh rằng AH  (BCD).

c) Kẻ đường cao IJ của tam giác AID. Chứng minh rằng IJ là đường vuông góc chung của AD và BC.

Lời giải:

Bài 7.39 trang 65 Toán 11 Tập 2 | Kết nối tri thức Giải Toán 11

a) Vì tam giác ABC cân tại A, AI là trung tuyến nên AI đồng thời là đường cao hay AI  BC.

Vì tam giác BCD cân tại D, DI là trung tuyến nên DI đồng thời là đường cao hay DI  BC.

Có AIBC và DI  BC nên BC  (AID).

b) Do AH là đường cao của tam giác AID nên AH  DI.

Vì BC  (AID) nên BC  AH mà AH  DI nên AH  (BCD).

c) Vì BC  (AID) nên BC  IJ, mà IJ là đường cao của tam giác AID nên IJ  AD. Do đó IJ là đường vuông góc chung của AD và BC.

Bài 7.40: Cho hình chóp S.ABC có đáy ABC là tam giác vuông tại B, BC = a và  = 30o. Biết SA  (ABC) và SA = a .

a) Chứng minh rằng (SBC)  (SAB).

b) Tính theo a khoảng cách từ điểm A đến đường thẳng SC và khoảng cách từ điểm A đến mặt phẳng (SBC).

Lời giải:

a) Ta có SA(ABC) nên (SAB)(ABC). Mặt khác, ABBC nên (SAB)(SBC). Từ đó suy ra (SBC)(SAB).

b) Gọi H là hình chiếu vuông góc của A lên SC.

Do SA(ABC) nên AHBC.

Vậy AH là đường cao của tam giác vuông ABC, nên AH=a32.

Ta có SC=SA2AC2=a (vì AC=2AB=2a3=2a33).

SB=AB=a3SC=a

BC=a2BSCˆ=90

Vậy diện tích của tam giác SBC là SSBC=12SBSC=a223.

Khoảng cách từ A đến mặt phẳng (SBC) là SSBCBC=a26.


Bài 7.41: Cho hình chóp S.ABCD có đáy ABCD là hình vuông cạnh bằng a. Biết tam giác SAD vuông cân tại S và (SAD)  (ABCD).

a) Tính theo a thể tích của khối chóp S.ABCD.

b) Tính khoảng cách giữa hai đường thẳng AD và SC.

Lời giải:


Bài 7.42: Cho hình hộp ABCD.A'B'C'D' có độ dài tất cả các cạnh bằng a, AA'  (ABCD) và  = 60o.

a) Tính thể tích của khối hộp ABCD.A'B'C'D'.

b) Tính khoảng cách từ A đến mặt phẳng (A'BD).

Lời giải:

Bài 7.42 trang 65 Toán 11 Tập 2 | Kết nối tri thức Giải Toán 11

a) Gọi O là giao điểm của AC và BD.

Vì hình hộp ABCD.A'B'C'D' có độ dài tất cả các cạnh bằng a nên ABCD là hình thoi, suy ra AO = OC và AC  BD.

Có SABD .AO.BD = .CO.BD = SBCD. Do đó SABCD = 2SABD.

Mà SABD .AB.AD.sin = .a.a.sin60o =  . Do đó SABCD = .

Vậy  .

b) Vì AO  BD mà AA'  (ABCD) nên AA'  BD. Do đó BD  (AOA').

Suy ra (A'BD)  (AOA').

Kẻ AE  A'O tại E. Vì (A'BD)  (AOA'), (A'BD)  (AOA') = A'O và AE  A'O nên AE  (A'BD). Do đó d(A, (A'BD)) = AE.

Xét tam giác ABD có AB = AD = a nên tam giác ABD là tam giác cân tại A mà  nên tam giác ABD đều, suy ra BD = a mà BO =  .

Xét tam giác AOB vuông tại O, có AO =  .

Vì AA'  (ABCD) nên AA'  AO hay tam giác A'AO vuông tại A.

Xét tam giác A'AO vuông tại A có 

.

Vậy d(A, (A'BD)) =  .

Bài 7.43: Cho hình lăng trụ ABCD.A'B'C'D'. Biết A'.ABCD là hình chóp đều có tất cả các cạnh đều bằng nhau và bằng a. Tính theo a thể tích của khối lăng trụ ABCD.A'B'C'D' và thể tích của khối chóp A'.BB'C'C.

Lời giải:

Thể tích của khối lăng trụ ABCD.A'B'C'D' là:

Vlăngtr=Shìnhbìnhhành+Smtbên=a2+a2.22=a2.((2+2)2)

Để tính thể tích của khối chóp A'.BB'C'C

Ta đã tính được Sđáy=a2h=a (vì đây là hình chóp đều), nên thể tích của khối chóp là: VA.BBCC=13.Sday.h=13.a2.a=a33

Vậy thể tích của khối chóp A'.BB'C'C là a33.

Bài 7.44: Cho hình chóp S.ABCD có đáy ABCD là hình thang cân, AB // CD và AB = BC = DA = a, CD = 2a. Biết hai mặt phẳng (SAC) và (SBD) cùng vuông góc với mặt phẳng đáy (ABCD) và SA = a . Tính theo a khoảng cách từ S đến mặt phẳng (ABCD) và thể tích của khối chóp S.ABCD.

Lời giải:

Bài 7.44 trang 65 Toán 11 Tập 2 | Kết nối tri thức Giải Toán 11

Gọi O là giao điểm của AC và BD.

Vì hai mặt phẳng (SAC) và (SBD) cùng vuông góc với mặt phẳng đáy (ABCD) nên SO  (ABCD).

Khi đó d(S, (ABCD)) = SO.

Kẻ AH  DC tại H, BK  DC tại K.

Khi đó ABKH là hình chữ nhật nên AB = HK = a.

Xét AHD và BKC có: AD = BC = a,  ,  (do ABCD là hình thang cân).

Do đó AHD = BKC, suy ra DH = CK =  ;

CH = HK + CK = a+.

Xét tam giác AHD vuông tại H, có AH =  .

Xét tam giác AHC vuông tại H, có AC = .

Vì AB // CD nên  .

Xét tam giác SOA vuông tại O, có SO =  .

Khi đó d(S, (ABCD))  .

Ta có  .

Vậy .

Bài 7.45: Trên mặt đất phẳng, người ta dựng một cây cột AB có chiều dài bằng 10 m và tạo với mặt đất góc 80°. Tại một thời điểm dưới ánh sáng mặt trời, bóng BC của cây cột trên mặt đất dài 12 m vào tạo với cây cột một góc bằng 120° (tức là  = 120o). Tính góc giữa mặt đất và đường thẳng chứa tia sáng mặt trời tại thời điểm nói trên.

Lời giải: