Giải SGK Toán 11 Kết nối tri thức Bài 33: Đạo hàm cấp hai

Mở đầu: Chuyển động của một vật gắn trên con lắc lò xo (khi bỏ qua ma sát và sức cản không khí) được cho bởi phương trình sau:

x(t) = 4cos,

ở đó x tính bằng centimet và thời gian t tính bằng giây. Tìm gia tốc tức thời của vật tại thời điểm t = 5 giây (làm tròn kết quả đến hàng đơn vị).

Lời giải:

Vận tốc của vật tại thời điểm t là

v(t) = x'(t) = -'.4sin = -8sin.

Gia tốc tức thời của vật tại thời điểm t là:

a(t) = v'(t) = -8'.cos = -16cos.

Tại thời điểm t = 5, gia tốc của vật là:

a(5) =  (cm/s2).

1. Khái niệm đạo hàm cấp hai

Hoạt động 1: Nhận biết đạo hàm cấp hai của một hàm số

a) Gọi g(x) là đạo hàm của hàm số y = sin. Tìm g(x).

b) Tính đạo hàm của hàm số y = g(x).

Lời giải:


Luyện tập 1: Tính đạo hàm cấp hai của các hàm số sau:

a) y = xe2x;

b) y = ln(2x + 3).

Lời giải:

a) y=e2x+2xe2x=(2x+1)e2x

y=xe2x là y′′=2(2x+2)e2x

b) y=22x+3y′′=ddx(22x+3)=4(2x+3)2


2. Ý nghĩa cơ học của đạo hàm cấp hai

Hoạt động 2: Nhận biết ý nghĩa cơ học của đạo hàm cấp hai

Xét một chuyển động có phương trình s = 4cos2πt.

a) Tính vận tốc tức thời của chuyển động tại thời điểm t.

b) Tính gia tốc tức thời tại thời điểm t.

Lời giải:

a)

Ta có: v(t) = s'(t) = –4.2πsin2πt = –8πsin2πt.

Vậy vận tốc tức thời của chuyển động tại thời điểm t là –8πsin2πt.

b) Gia tốc tức thời tại thời điểm t là

a(t) = v'(t) = (–8πsin2πt)' = –8π.2πcos2πt = –16π2cos2πt.

Vận dụng: Một chuyển động thẳng có phương trình  (s tính bằng mét, t tính bằng giây). Tìm gia tốc của vật tại thời điểm t = 4 giây.

Lời giải:

Đạo hàm cấp nhất của s(t) theo t:

v(t)=dsdt=4t3+2t

đạo hàm cấp hai của s(t) theo t:

a(t)=d2sdt2

Vậy, gia tốc của vật tại thời điểm t=4 giây là:

a(4)=12(4)2+2=194(m/s2)


Bài tập

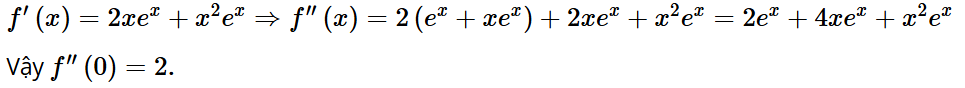
Bài 9.13: Cho hàm số f(x) = x2ex. Tính f''(0).

Lời giải:

Ta có:


Bài 9.14: Tính đạo hàm cấp hai của các hàm số sau:

a) y = ln(x + 1);

b) y = tan2x.

Lời giải:

a) y=1x+1

y′′=1(x+1)2

b) y=2.1cos2x(2x)

y′′=8.1cos2xtan(2x)=8(1+tan2(2x))tan(2x)


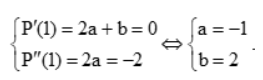
Bài 9.15: Cho hàm số P(x) = ax2 + bx + 3 (a, b là hằng số). Tìm a, b biết P'(1) = 0 và P''(1) = –2.

Lời giải:

Ta có:

P'(x) = 2ax + b

P''(x) = 2a

Do P'(1) = 0 và P''(1) = –2 nên ta có


Vậy a = – 1 và b = 2.

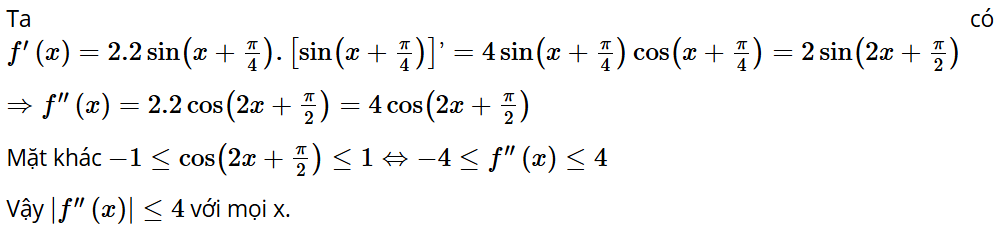
Bài 9.16: Cho hàm số f(x) =  . Chứng minh rằng |f''(x)| ≤ 4 với mọi x.

Lời giải:


Bài 9.17: Phương trình chuyển động của một hạt được cho bởi s(t) = 10 + 0,5sin, trong đó s tính bằng centimet và t tính bằng giây. Tính gia tốc của hạt tại thời điểm t = 5 giây (làm tròn kết quả đến chữ số thập phân thứ nhất).

Lời giải:

Vận tốc tại thời điểm t là:

v(t) = s'(t) = 0,5.2πcos= πcos.

Gia tốc tức thời của vật tại thời điểm t là:

a(t) = v'(t) = –π.2πsin= –2π2sin.

Tại thời điểm t = 5 giây, gia tốc của vật là:

a(5) = –2π2sin ≈ –11,6 (cm/s2).