Giải SGK Toán 11 Kết nối tri thức Bài tập cuối chương IX

A. Trắc nghiệm

Bài 9.18: Với u, v là các hàm số hợp theo biến x, quy tắc tính đạo hàm nào sau đây là đúng?

A. (u + v)' = u' – v'.

B. (uv)' = u'v + uv'.

C.  .

D.  .

Đáp án: B

Ta có quy tắc đạo hàm:

(u + v)' = u' + v'

(uv)' = u'v + uv'

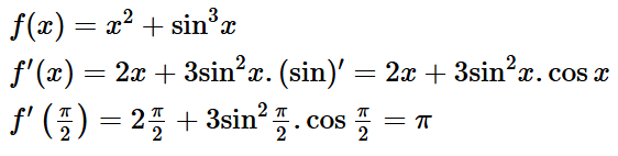
Bài 9.19: Cho hàm số f(x) = x2 + sin3x. Khi đó  bằng

A. π.

B. 2π.

C. π + 3.

D. π – 3.

Đáp án: A


Bài 9.20: Cho hàm số f(x) =  . Tập nghiệm của bất phương trình f'(x) ≤ 0 là

A. [1; 3].

B. [–1; 3].

C. [–3; 1].

D. [–3; –1].

Đáp án: B

Ta có f'(x) = x2 – 2x – 3.

Khi đó f'(x) ≤ 0 ⇔ x2 – 2x – 3 ≤ 0 ⇔ –1 ≤ x ≤ 3.

Bài 9.21: Cho hàm số f(x) =  với u(1) = 7, u'(1) = 10. Khi đó f'(1) bằng

A. 1.

B. 6.

C. 3.

D. –3.

Đáp án: C

Ta có f'(x) = .

Nên f'(1) =  .

Bài 9.22: Cho hàm số f(x) = x2e–2x. Tập nghiệm của phương trình f'(x) = 0 là

A. {0; 1}.

B. {–1; 0}.

C. {0}.

D. {1}.

Đáp án: A

Ta có f'(x) = (x2)' . e– 2x + x2 . (e– 2x)' = 2xe–2x – 2x2e–2x.

Để f'(x) = 0 ⇔ 2xe–2x – 2x2e–2x = 0

⇔ 2xe–2x(1 – x) = 0


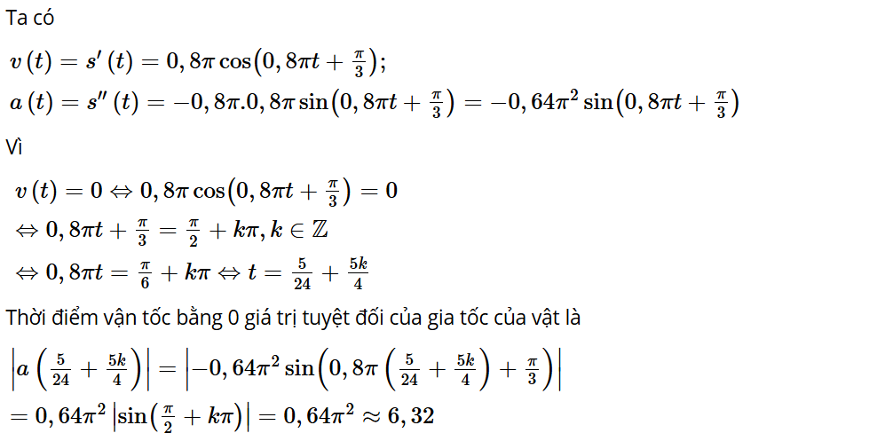
Bài 9.23: Chuyển động của một vật có phương trình s(t) = sin, ở đó s tính bằng centimét và thời gian t tính bằng giây. Tại các thời điểm vận tốc bằng 0, giá trị tuyệt đối của gia tốc của vật gần với giá trị nào sau đây nhất?

A. 4,5 cm/s2.

B. 5,5 cm/s2.

C. 6,3 cm/s2.

D. 7,1 cm/s2.

Đáp án: C


Bài 9.24: Cho hàm số y = x3 – 3x2 + 4x – 1 có đồ thị là (C). Hệ số góc nhỏ nhất của tiếp tuyến tại một điểm M trên đồ thị (C) là

A. 1.

B. 2.

C. –1.

D. 3.

Đáp án: A

Hệ số góc của tiếp tuyến tại một điểm M trên đồ thị (C) là

k = y' = 3x2 – 6x + 4 = 3(x2 – 2x + 1) + 1 = 3(x – 1)2 + 1 ≥ 1 với mọi x.

Vậy hệ số góc nhỏ nhất của tiếp tuyến tại một điểm M trên đồ thị (C) là 1.

B. Trắc nghiệm

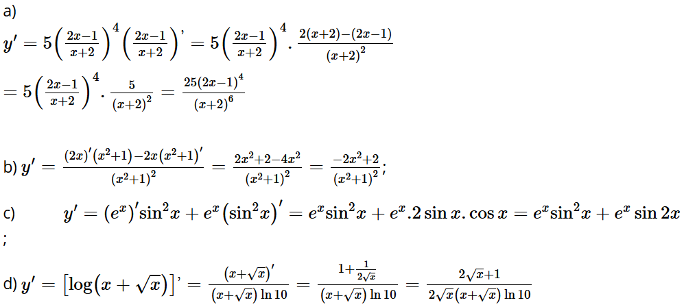
Bài 9.25: Tính đạo hàm của các hàm số sau:

a)  ;

b)  ;

c) y = exsin2x;

d) y = log(x+).

Lời giải:


Bài 9.26: Xét hàm số lũy thừa y = xα với α là số thực.

a) Tìm tập xác định của hàm số đã cho.

b) Bằng cách viết y = xα = eαlnx, tính đạo hàm của hàm số đã cho.

Lời giải:

a) Tập xác định của hàm số y=xα là tập các số thực dương nếu α là số thực chẵn, hoặc tập các số thực nếu α là số thực lẻ.

b) y(x)=ddx(eαlnx)

=eαlnxddx(lnx)=αxα1


Bài 9.27: Cho hàm số f(x) =  . Đặt g(x) = f(1) + 4(x2 – 1).f'(1). Tính g(2).

Lời giải:

Với x>-, ta có: f'(x) =  .

Do đó, f(1) =  = 2, f'(1) =  =  .

Vậy g(2) = f(1) + 4(22 – 1).f'(1) = 2 + 12. = 11.

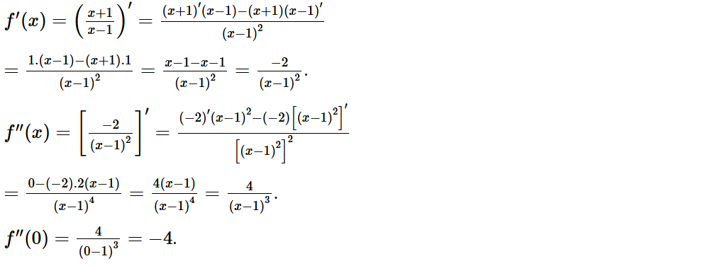
Bài 9.28: Cho hàm số f(x) =  . Tính f''(0).

Lời giải:


Bài 9.29: Cho hàm số f(x) thỏa mãn f(1) = 2 và f'(x) = x2f(x) với mọi x. Tính f''(1).

Lời giải:

f′′(x)=[x2f(x)]=2xf(x)+x2f(x)=2xf(x)+x2.x2f(x)

=(2x+x4)f(x)f(1)=(2.1+14)f(1)=3.2=6


Bài 9.30: Viết phương trình tiếp tuyến của đồ thị hàm số y = x3 + 3x2 – 1 tại điểm có hoành độ bằng 1.

Lời giải:

Ta có: y' = 3x2 + 6x ⇒ y'(1) = 3 . 12 + 6 . 1 = 9.

Ngoài ra, f(1) = 13 + 3 . 12 – 1 = 3 nên phương trình tiếp tuyến cần tìm là:

y – 3 = 9(x – 1) hay y = 9x – 6.

Bài 9.31: Đồ thị của hàm số y =  (a là hằng số dương) là một đường hypebol. Chứng minh rằng tiếp tuyến tại một điểm bất kì của đường hypebol đó tạo với các trục tọa độ một tam giác có diện tích không đổi.

Lời giải:


Bài 9.32: Hình 9.10 biểu diễn đồ thị của ba hàm số. Hàm số thứ nhất là hàm vị trí của một chiếc ô tô, hàm số thứ hai biểu thị vận tốc và hàm số thứ ba biểu thị gia tốc của ô tô đó. Hãy xác định đồ thị của mỗi hàm số này và giải thích.


Lời giải:

Hàm số thứ nhất là hàm vị trí của chiếc ô tô, nó biểu thị khoảng cách mà chiếc ô tô đã di chuyển từ điểm xuất phát. Đồ thị của hàm số này là một đường cong mượt mà (nếu không có phần bị gián đoạn) và có độ dốc dương (nếu chiếc ô tô di chuyển theo phương dương) hoặc âm (nếu chiếc ô tô di chuyển theo phương âm).

+ Hàm số thứ hai là hàm vận tốc của chiếc ô tô, nó biểu thị tốc độ của chiếc ô tô tại mỗi thời điểm. Đồ thị của hàm số này cũng là một đường cong mượt mà (nếu không có phần bị gián đoạn) và có độ dốc dương (nếu chiếc ô tô tăng tốc) hoặc âm (nếu chiếc ô tô giảm tốc).

+ Hàm số thứ ba là hàm gia tốc của chiếc ô tô, nó biểu thị tốc độ thay đổi của chiếc ô tô tại mỗi thời điểm. Đồ thị của hàm số này có thể là một đường cong mượt mà hoặc bị gián đoạn (nếu chiếc ô tô tăng tốc/giảm tốc đột ngột). Nếu đồ thị của hàm số này là một đường thẳng thì nghĩa là gia tốc của chiếc ô tô là hằng số và chiếc ô tô đang di chuyển với chuyển động đều (chuyển động đều là chuyển động mà vận tốc của vật không đổi).

Bài 9.33: Vị trí của một vật chuyển động thẳng được cho bởi phương trình: s = f(t) = t3 – 6t2 + 9t, trong đó t tính bằng giây và s tính bằng mét.

a) Tính vận tốc của vật tại các thời điểm t = 2 giây và t = 4 giây.

b) Tại những thời điểm nào vật đứng yên?

c) Tìm gia tốc của vật tại thời điểm t = 4 giây.

d) Tính tổng quãng đường vật đi được trong 5 giây đầu tiên.

e) Trong 5 giây đầu tiên, khi nào vật tăng tốc, khi nào vật giảm tốc?

Lời giải:

a) Ta có: v(t) = s'(t) = 3t2 – 12t + 9.

Vận tốc của vật tại thời điểm t = 2 giây là v(2) = 3 . 22 – 12 . 2 + 9 = –3 (m/s).

Vận tốc của vật tại thời điểm t = 4 giây là v(4) = 3 . 42 – 12 . 4 + 9 = 9 (m/s).

b) Khi vật đứng yên ta có: v(t) = 0 ⇔ 3t2 – 12t + 9 = 0 ⇔ t = 1 hoặc t = 3.

Vậy tại thời điểm 1 giây hoặc 3 giây thì vật đứng yên.

c) Ta có: a(t) = s''(t) = 6t – 12.

Gia tốc của vật tại thời điểm t = 4 giây là a(4) = 6 . 4 – 12 = 12 (m/s2).

d) Ta có khi t = 1 hoặc t = 3 thì vật đứng yên.

Do đó, ta cần tính riêng rẽ quãng đường vật đi được trong từng khoảng thời gian [0; 1], [1; 3], [3; 5].

Ta có: f(0) = 03 – 6 . 02 + 9 . 0 = 0; f(1) = 13 – 6 . 12 + 9 . 1 = 4;

f(3) = 33 – 6 . 32 + 9 . 3 = 0; f(5) = 53 – 6 . 52 + 9 . 5 = 20.

Từ thời điểm t = 0 giây đến thời điểm t = 1 giây, vật đi được quãng đường là:

|f(1) – f(0)| = |4 – 0| = 4 (m).

Từ thời điểm t = 1 giây đến thời điểm t = 3 giây, vật đi được quãng đường là:

|f(3) – f(1)| = |0 – 4| = 4 (m).

Từ thời điểm t = 3 giây đến thời điểm t = 5 giây, vật đi được quãng đường là:

|f(5) – f(3)| = |20 – 0| = 20 (m).

Tổng quãng đường vật đi được trong 5 giây đầu tiên là 4 + 4 + 20 = 28 (m).

e)

Xét a(t) = 0, tức là 6t – 12 = 0 ⇔ t = 2.

Với t ∈ [0; 2) thì gia tốc âm, tức là vật giảm tốc.

Với t ∈ (2; 5] thì gia tốc dương, tức là vật tăng tốc.